在这里,研究报道了一种一步全干转移方法,用于将化学气相沉积石墨烯(CVD石墨烯)转移到不同的应用表面上,使用压敏粘合剂(PSA)材料作为转移介质,该材料通过初始CVD(iCVD)方法以薄膜的形式沉积在应用表面上。沉积的PSA膜是丙烯酸和丙烯酸乙基己酯的共聚物,其中每种组分的相对量被证明是基于粘合的转移过程所需的粘合力的适当调节的决定因素。在现实应用表面上的薄PSA膜的帮助下,只需剥离最初沉积CVD石墨烯的铜基底,就可以轻松、高质量地实现石墨烯转移。通过本研究中概述的全干环保转移程序,可以将石墨烯转移到柔性大面积PET基底(10 cm×10 cm)上,与使用经典湿法转移的石墨烯相比,在该基底上,I–V实验获得了更高的电导率值。

图1.(a) LPT-CVD的示意图和(b)石墨烯合成的温度分布。

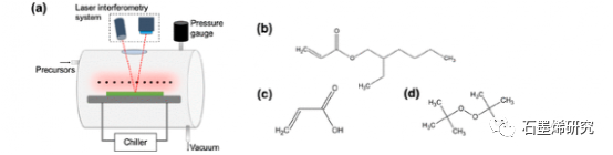
图2:(a) iCVD系统和(b)EHA(单体)、(c)AA(单体”)和(d)TBPO(引发剂)的化学结构示意图。

图3.基于PSA的石墨烯转移方法示意图。

图4.(a) 具有低(PSA 1)和高(PSA 2)AA分数的iCVD-P(EHA-AA)膜和(b)单体的FTIR光谱。(c) 沉积态薄膜的剪切强度值。

图5.(a–d)在基于PSA的CVD石墨烯转移过程中获得的图像(玻璃的短边和长边的长度分别为25和60 mm)。

图6.使用含有高(a)和低(d)AA组分的PSA膜转移到玻璃表面的石墨烯的光学显微镜图像(500倍放大),具有相应的拉曼光谱(b,e)和AFM图像(c,f)。

图7.(a–c)转移石墨烯的PET基板的照片。(d)PET上石墨烯在平坦和弯曲条件下的I–V特性。
相关研究成果由科尼亚工业大学Mehmet Gürsoy和Mustafa Karaman等人2023年发表在ACS Applied Engineering Materials (https://doi.org/10.1021/acsaenm.3c00211)上。原文:Transfer of CVD-Graphene on Real-World Surfaces in an Eco-Friendly Manner。
本文来自石墨烯研究,本文观点不代表石墨烯网立场,转载请联系原作者。
