研究背景
对低温下的热管理的需求迅速出现。这是由几个趋势和发展推动的。人们有强烈的动机在低温下运行传统的半导体电子产品,以实现“冷计算”,这允许人们在降低功耗的同时提高计算和能源效率。量子计算技术的主要进展与超导量子比特有关,这需要低温。太空探索需要电子设备在严酷的低温环境中运行。低温热管理通常依赖于导热材料和绝热材料。前者是以聚合物为基础的热界面材料(TIMs),具有良好的导热性能,便于散热;后者是聚合物材料,导热系数低,可以在不同温度下工作的电子元件之间起到绝热的作用。低温热管理应用的例子包括超导电缆的保护层、用于射电天文学和空间通信系统的低温低噪声放大器、低温折射光学元件的光学支架和低温吸液泵。
聚合物是较差的导热材料,在室温(RT)下的导热系数在~0.2~0.5W·m-1K-1之间。聚合物在TIMs中用作基材,即基质材料,填充两个相邻固体界面之间的气隙,并提供粘附特性。要提高聚合物的导热系数,需要加入具有较高本征导热系数的微米和纳米级填料,这些填料能与基材很好地耦合。单层和少层石墨烯(FLG)薄片的混合物在热环境中被称为“石墨烯”,已被证明是各种TIMs的有效填充材料,包括未固化的矿物油基热浆料和固化环氧树脂。用于热管理的石墨烯可以通过液相剥离、氧化石墨烯还原或其他技术批量生产。数个研究小组已经报告RT附近导热系数高于~12 W·m-1K-1,这超过了传统商业TIMs的标准,石墨烯TIMs在RT附近的优异性能源于石墨烯和少层石墨烯的极高的本征导热系数、与基质的强耦合、良好的分散性以及所得到的化合物的适当的粘度范围。导热系数的提高是在热渗流阈值以下和之上实现的,热渗流阈值是石墨烯填充物开始形成连续导热路径的负载分数。当导热系数与填充量的关系变为超线性时,可以确定热渗流阈值。应该注意的是,石墨烯复合材料的热性能只在RT和更高的温度下进行过研究-这是传统电子学感兴趣的温度范围。我们不知道有任何关于石墨烯复合材料低温热特性的报道。一般来说,任何聚合物复合材料在低温下的热性能数据都很少。即使不考虑固体夹杂物,即填料,对低温下无定形聚合物中的热传播的理解也是远远不够的。
研究成果
近日,加州大学展示了研究了环氧石墨烯复合材料在 2 K 至 RT 温度范围内的热性能。环氧树脂是一种实用的重要材料,经常用作参考材料来比较不同类型的填料对其导热系数的影响。该研究发现,在低温下,石墨烯复合材料的导热系数可能高于或低于参考原始环氧树脂的导热系数,具体取决于石墨烯填料的负载量和温度。这与在 RT 附近观察到的情况截然不同。此外,存在一个明确定义的交叉温度,在该温度之上,热导率随着石墨烯的添加而增加,而在它之下,热导率随着石墨烯的添加而降低。石墨烯复合材料的独特之处在于它们可以提供最强的导热性增强和最强的抑制。该研究提供了反直觉趋势的物理模型解释,并提供了与测量结果一致的数值模拟数据。获得的结果表明使用具有相同组成材料的复合材料的可能性,用于在低温下去除热量和隔热电子元件。后者构成了热管理的概念变化,热管理通常依赖于不同的材料进行热传导和隔离。该研究工作以题为“Cryogenic characteristics of graphene composites—evolution from thermal conductors to thermal insulators”的论文发表在国际顶级期刊《Nature Communications》上。

图文速递

图1.样品制备和表征
聚合物基质是由基础树脂(双酚A)组成的热固性环氧组。和硬化剂(三乙烯四胺)。使用了指定的平均侧向尺寸为25 m、平均厚度为15 nm、平均表面积为50~80 m2g–1的几层石墨烯作为复合材料的填料。石墨烯填料在与基质聚合物的高速混合过程中发生进一步的剥离。得到的填料由FLG和单层石墨烯的混合物组成。石墨烯填料的横向尺寸是调节复合材料导热系数的重要参数。为了最大限度地提高复合材料的热导率,人们通常希望将横向尺寸保持在石墨烯中的灰色声子平均自由程以上。相反,为了提高复合材料的绝缘性能最好使用侧向尺寸较小的填料。
复合材料的制备和表征通过混合预定数量的树脂、固化剂和FIG填料以达到目标填充量,制备了几个复合材料样品。首先,使用高速剪切混合器将一定量的FLG填料分配到环氧树脂中。然后将固化剂以12:100的质量比添加到混合物中,相对于基础环氧树脂的重量。混合物被吸尘了几次,以消除在复合材料制备过程中可能被困住的任何气泡。将混合物倒入特殊模具中固化和固化。
对复合材料进行了进一步的表征,证实了石墨烯在样品中的均匀分布,复合样品中存在单层石墨烯和少层石墨烯的混合物。在该实验中,使用了λ=532 nm的激发激光。分别显示了纯环氧树脂和石墨烯含量为18.0vol%的复合材料的布里渊光谱。在7K、80K和RT条件下,在相同的激光功率下对样品表面进行了数据积累。在RT处观察到的~15 GHz处的峰值归因于纵向声学(LA)声子。对于各向同性材料,LA声子的频率随温度的升高而减小,并随温度的升高而增大。该研究没有观察到横向声学声子的特征,这与各向同性材料的选择规则一致。复合材料的数据显示出更多的散射,这是由于光吸收增加和散射光强度降低所致。原始的环氧树脂和含石墨烯的环氧树脂中声学声子的布里渊声子和布里渊信号的相似趋势表明,填料的加入并没有对材料的机械性能产生负面影响。

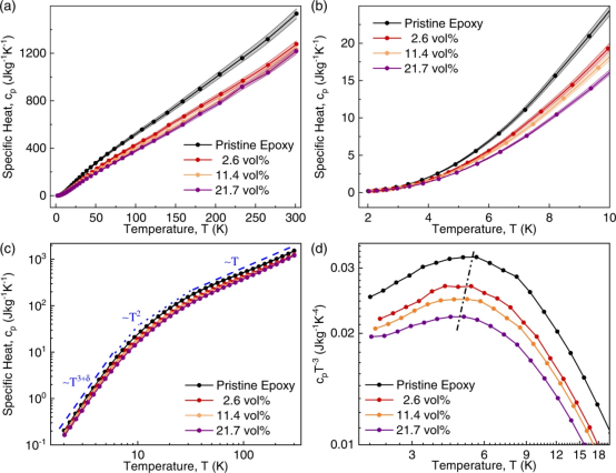
图2.石墨烯复合材料的比热
从研究无序非晶态材料的比热入手,说明了无序非晶材料的典型温度变化趋势。图2a,b显示了不同填料浓度下的比热系数、cp、原始环氧树脂的测量结果以及选定的复合材料随温度变化的结果。实验数据点周围的阴影区域表示使用物理性能测量系统(PPMS,DynaCool,Quantum Design)进行的测量的标准误差。整齐的环氧树脂的结果与文献吻合得很好。比热随温度的变化类似于其他无定形聚合物。在所有样品中,cp在低温区增长较快;随着温度的升高,cp的增长速度变慢。为了更好地显示cp的温度特性,还以对数-对数比例绘制了数据,表明了多项式函数依赖关系。在这些区域中,cp在低温极限的行为是特别有趣的,因为它偏离了经典的晶体材料的德拜模型。这种行为可以用非晶态材料在低温下的两能级系统的隧穿模型来解释。这种反常的准线性趋势之后是cpT-3数据中的一个驼峰,称为3K≤T≤10K区的“玻色子峰”。“玻色子峰”归因于非晶态材料中存在的低频振动模式。随着填充量的增加,玻色子峰出现的温度略有降低。“玻色子峰”最终会随着填料含量的增加而消失,因为由于石墨烯的含量,材料获得了更多的“结晶”特性。随着石墨烯负载量的增加,玻璃纤维的cp远低于环氧树脂的cp,因此cp总体上呈下降趋势。该研究建立了石墨烯复合材料的比热的总体趋势,这些材料遵循非晶态材料的比热,但随着石墨烯含量的增加变得更像晶态。

图3.石墨烯复合材料的温度相关热传输特性
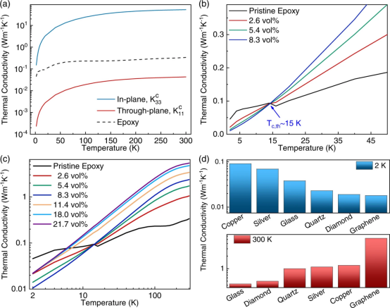
现在,转向这项研究的主要主题–石墨烯复合材料在低温下的导热系数。纯环氧树脂的导热系数在2K≤T≤6K温度范围内呈超线性增长,在6K≤T≤17K温度范围内呈“平台区”下降,k几乎保持不变。在平台之后,k再次线性增加,直到T~80K,此时出现了延伸到T~175K的第二个平台。非晶态材料普遍存在k-T关系的第一平台,且它发生在几乎相同的温度范围内。它始于比热中出现“玻色子峰”的温度。第一个平台区由二能级系统和隧道模型解释。根据这个模型,这种依赖关系是由于MFP较短的声子而不是MFP较长的声子成为主要热载流子的交叉。其中C、v、Λ分别是声子的比热、平均群速度和平均自由程。在平台区,当C随温度升高时,Λ几乎以相同的速率减小。换句话说,在Λ和C的乘积与温度无关的温度范围内形成平台。
现在更详细地考虑石墨烯-环氧基复合材料的导热系数随温度变化的特性。图3B中,在线性比例上重新绘制了相同石墨烯负载量的热导率数据。石墨烯复合材料中不存在类似于纯环氧树脂的平台区。对于填充量≤8.3vol%的复合材料,存在一个明确的交叉温度Tc∼11K,在该温度下,不同石墨烯含量的原始环氧树脂和石墨烯复合材料的κ是相同的。以前在半晶材料和填充夹杂物的聚合物基复合材料的热导率数据中已经报告过存在交叉温度和没有平台的情况,这可以被认为是半晶介质。在所有这些研究中,一旦向无定形聚合物中加入结晶填料,平台区就消失了。由于FLG的cp低于基质的cp,因此两种温度的比热都随着f的增加而降低。热导率在2K时随cp趋势下降,或者因为石墨烯填料更像是相关低波长声子的散射中心。300K时的热导率随着f的增加而增加,尽管由于添加了更多渗滤FLG导电通道而降低。渗透通道的总横截面增加快于cp的减少。应该注意的是,具有石墨烯填料的复合材料可以承受低温,而不会降低其机械或热性能。在2K至300K之间的几个温度循环期间进行的具有5.4 vol%石墨烯负载的复合材料的光学显微镜图像和热导率测量结果的分析证实了具有FLG填料的环氧复合材料在低温温度下的机械和热稳定性。在三轮加热和冷却循环后从同一样品的表面拍摄的光学显微镜图像显示,由于热循环应力,没有出现微裂纹。

图4.热导率和热性能基准测试
在2 K到300 K的整个温度范围内,FLG的平面热导率变得低于纯环氧树脂。垂直于热通量取向的石墨烯填料用作额外的热边界电阻,散射中心,而不是比热的导管。请注意,Kc33比原始环氧树脂在2K时的导热系数低两个数量级以上。FLG 的面内导热系数仅比原始环氧树脂在T=2 K时高三倍,而在RT,其有效面内导热系数比纯环氧树脂高约160倍。
图 4b 显示了基于该有效介质模型的f ≤8.3vol%复合材料在2K至50K温度范围内的计算结果。该模型成功地反映了低浓度的实验导热特性复合材料并正确估计实验交叉温度。基于该模型,推断FLG的低有效平面导热率超过了其高效的面内导热率,导致复合导热率在低温极限下低于纯环氧树脂。随着FLG负载量的增加,填料的低贯穿平面导热系数的影响占主导地位,导致复合材料的导热系数进一步降低。相反,在高温极限下,面内和面内热导率均增加。这导致填料的有效热导率在两个方向上都增加。在~15 K时,FLG填料的有效热导率恢复得足够好,导致热传输增强。高于此温度,复合材料的热导率变得高于纯环氧树脂的热导率,并且随着FLG负载的增加而增加。因此,导热率趋势发生转变,低温时k随着FLG浓度的增加而降低,而在高温时则相反。后者导致复合材料的k在15K时出现交叉温度效应。发现沿渗滤石墨烯填料通道的优异热传导克服了低温下大界面热阻的负面影响,导致交叉效应在成分大于f ≥ 11.4 vol%时消失。
从上面的讨论中可以看出,由于主声子波长的增加和声子散射机制的变化,半结晶系统的热特性在低温极限下可能会发生剧烈变化。在这种情况下,填料可以充当声子散射中心而不是导电夹杂物,这抑制了复合材料的热传输,甚至低于其原始无定形聚合物基体的极限。复合材料的温度相关热传输数据显示交叉温度Tc,通常在5K到20K的区间内,在该温度下,复合材料的导热系数低于温度低于Tc的原始聚合物主体反之亦然。填料的包含导致在无定形聚合物中观察到的平台区域消失。这两个特征归因于聚合物-填料界面处的TBR,它在低温下变得占主导地位。石墨烯复合材料的低温特性是独一无二的,因为它们在交叉温度以下提供了最强的热导率抑制,在交叉温度以上提供了最高的热导率增强。这是由于石墨烯和FLG的原子厚度、其几何形状以及异常高的固有面内热导率。对于实际应用,石墨烯复合材料为需要冷却和隔热的电路和系统提供双重功能。
结论与展望
总之,该研究证明在低温下,石墨烯复合材料的热导率可以高于或低于参考原始环氧树脂的热导率,这取决于石墨烯填料的负载量和特定温度。存在一个明确定义的交叉温度——在它之上,热导率随着石墨烯的添加而增加;在其下方,热导率随着石墨烯的添加而降低。这种反直觉的趋势可以用低温下热传导的特殊性来解释。随机分布的石墨烯填料可以同时作为基质材料中声子的散射中心和热导管。
该研究还认为,由于低波长声子的主导地位甚至在填料物理连接之前就促进了填料到填料的热传导,因此热渗流阈值的开始可以进行修改。获得的结果表明使用具有相同组成材料的复合材料的可能性,用于在低温下去除热量和隔热电子元件。后者是发展量子计算技术和低温冷却传统半导体电子产品的重要能力。
文献链接:https://www.nature.com/articles/s41467-023-38508-3
本文来自材料PLUS,本文观点不代表石墨烯网立场,转载请联系原作者。
