
成果介绍
对液体或溶液中的致味离子和分子进行连续监测,对于电子舌的实现具有重要意义。特别是从五大口味来看,高选择性、高灵敏度的实时Na+检测被优先考虑。优先考虑的原因是咸味是大多数食物的关键成分。然而,现有Na+检测设备的选择性、灵敏度和开关功能都相对较低。此外,由于重复使用或由于传感材料的降解而导致寿命不足,传统器件的容量显著下降。
有鉴于此,近日,韩国浦项科技大学Ho Won Jang,高丽大学Soo Young Kim和首尔大学Cheol-joo Kim(共同通讯作者)等合作通过杯[4]芳烃和Nafion的简易修饰,合理设计了石墨烯基沟道来解决这一问题。它们分别充当受体和分子筛来提高选择性和灵敏度,并延长器件的预期寿命。该器件与微流体沟道相结合,控制溶液的注入和提取,实现动态开关功能。与其他10种分子/离子相比,该器件具有高度选择性,高灵敏度的Na+检测性能。该器件具有动态开关功能,并且具有至少220天的长寿命。此外,通过主成分分析图可以很好地鉴别出含Na+的真实饮料。这些特点提供了在不久的将来上升到电子舌平台的可能性。
图文导读

图1. 石墨烯、Nafion/石墨烯、杯[4]芳烃/石墨烯、Nafion/杯[4]芳烃/石墨烯的器件结构及OM、TEM、SEM、拉曼光谱和XPS表征。

图2. 石墨烯、Nafion/石墨烯、杯[4]芳烃/石墨烯和Nafion/杯[4]芳烃/石墨烯的转移特性。

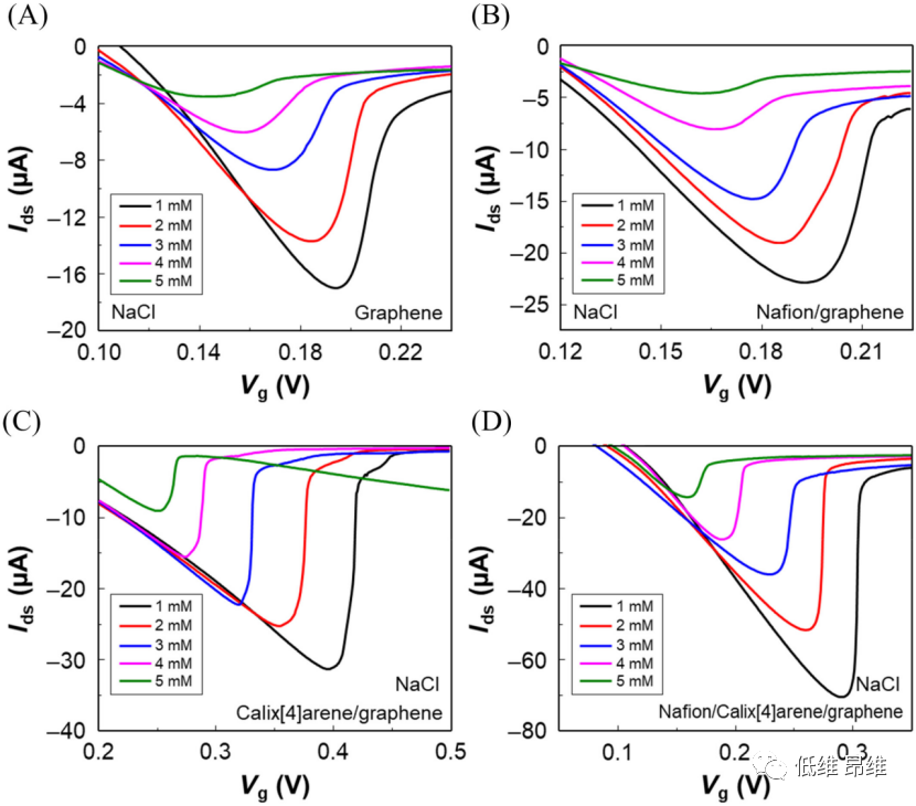
图3. 石墨烯、Nafion/石墨烯、杯[4]芳烃/石墨烯、Nafion/杯[4]芳烃/石墨烯的Na+检测特性。

图4. 杯[4]芳烃/Nafion修饰的石墨烯对Na+的长期稳定性、检出限、选择性。

图5. 将单片机集成到制作的器件和手机上进行应用,四种SFET的PCA图及其对实际饮料的响应,以及CVD石墨烯和杯[4]芳烃/Nafion修饰的石墨烯对Na+的检测机制。

文献信息
Rationally designed graphene channels for real-time sodium ion detection for electronic tongue
(Infomat, 2023, DOI:10.1002/inf2.12427)
文献链接:https://onlinelibrary.wiley.com/doi/10.1002/inf2.12427
本文来自低维 昂维,本文观点不代表石墨烯网立场,转载请联系原作者。
