太原赛因新材料科技有限公司
展位号:19
公司介绍

业务介绍:
主要从事焦耳热设备的开发、集成和技术服务,提供脉冲电闪蒸反应器和脉冲焦耳热反应器,为新型纳米材料制备、固废处理、城市采矿、废塑料循环利用、废橡胶转变石墨烯、制备石墨烯等提供科研-小试-中试-生产整体解决方案。
企业理念:
作为领先的焦耳热技术服务商,公司一直秉承“服务科研,持续创新”的理念,为科学研究及其产业转化提供全方位、高性价比的优质产品和服务。
产品介绍
1、脉冲电闪蒸反应器

脉冲电闪蒸反应器是集闪蒸焦耳热系统和快速焦耳热系统为一体的反应系统,包括两个电源系统(大功率电容系统和恒压电源系统)和电压电流温度实时测试系统。
主要功能有:
1.电容脉冲放电焦耳热:电容容量为90±5mF(18mF*5),最高电压为300V,最大电流400A,可循环多次进行自动电容充电和放电实现焦耳热升温;
2.恒压脉冲放电焦耳热:使用36V83A的3000W的恒压电源,可循环多次进行恒压或恒流脉冲放电实现快速焦耳热脉冲升温;
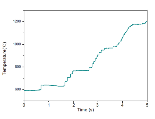
3.恒流程序升温焦耳热:36V83A的3000W的恒压电源,可预设四段温度,进行升温和保温,实现快速焦耳热程序升温;
4.电压电流实时测试系统:每秒可达1000次采样;
5.温度实时测试系统:量程为400-3600℃,每秒可达1000次采样;
6.实时数据在电脑中直接显示和保存。


脉冲闪蒸曲线

脉冲焦耳热曲线

程序升温曲线
2、脉冲焦耳热反应器
脉冲焦耳热反应器包括恒压电源系统和电压电流温度实时测试系统。
主要功能有:
1.恒压脉冲放电焦耳热:使用36V83A的3000W的恒压电源,可循环多次进行恒压或恒流脉冲放电实现快速焦耳热脉冲升温;
2.恒流程序升温焦耳热:36V83A的3000W的恒压电源,可预设四段温度,进行升温和保温,实现快速焦耳热程序升温;
3.电压电流实时测试系统:每秒可达1000次采样;
4.温度实时测试系统:量程为400-3600℃,每秒可达1000次采样;
5.实时数据在电脑中直接显示和保存。

二、助力科学家发表的文章
1、闪蒸石墨烯超级电容器

2、氢燃料电池高效催化剂


石墨烯研究和产业发展日新月异,世界主要发达国家和地区已针对石墨烯及其应用技术进行重要战略布局。近年来,国家相继出台系列新材料产业发展政策和指南,为新材料和石墨烯产业的发展提供了前所未有的历史机遇。本次论坛是继2014年第一届石墨烯论坛成功举办以来的第十届高端会议,计划于2023年4月13日-16日,在深圳大学城国际会议中心举办。该论坛由深圳市科技创新委员会和深圳市南山区人民政府共同主办,清华大学深圳国际研究生院、中国科学院金属研究所、中国科学院深圳先进技术研究院碳中和技术研究所、深圳盖姆石墨烯中心联合承办,会议共同主席由成会明教授和康飞宇教授担任。
此次论坛将围绕石墨烯、新型二维材料以及碳纳米材料,邀请来自中国、美国、欧洲、韩国、新加坡、日本等多个国家和地区的知名学者和产业界人士出席本次论坛,并作精彩演讲。该系列论坛是国内针对石墨烯举行的高端学术和产业研讨会,通过石墨烯科研和产业领域的科学家与企业家的思想碰撞、智慧融合,对促进当前国内石墨烯的研究和产业化进程具有重要作用,特别对石墨烯未来的产业发展具有重要的学习和借鉴意义。
感谢太原赛因新材料科技有限公司对2023第十届深圳国际石墨烯论坛的支持。
本文来自先进电池产业集群,本文观点不代表石墨烯网立场,转载请联系原作者。
