超级电容器作为清洁、可再生和可持续的储能装置之一,在世界范围内受到了广泛关注。然而,电容器能量密度较低的问题仍然是其商业应用面临的最大挑战。聚苯胺(PANI)由于其低成本、高导电性等特点,成为了一种很有前途的赝电容材料,但是其倍率性能、质量负载和稳定性等问题仍然限制了其进一步的应用。通常,电极的高电容是在低负载活性材料(<2.5 mg cm-2)下实现的,而大多数基于 PANI 的电极表现出较差的倍率能力。尽管具有挑战性,但制造的超级电容器电极具有出色的倍率性能、长循环稳定性和高质量负载对于实际应用至关重要。
基于此,海南大学高艳安/巫继锋团队制备了一种新型3D多孔聚(对氨基偶氮苯)/还原氧化石墨烯水凝胶作为超快、高负载和耐用的赝电容电极(PRH)(图1)。由于丰富稳定的氧化还原活性位点、快速的电解质扩散和有效的电荷传导,PRH 电极(5 mg cm−2) 显示出高比电容(701 F g−1 在 2 A g−1 下)和超快速率(在 100 A g−1 时保持 97% 的电容)。此外,即使负载量为 10 mg cm−2,该电极仍表现出相当的高性能和出色的长期循环寿命(10000 次循环后电容损失仅为 6.7%)。这项工作展示了用于构建新型电极的新型聚苯胺类似物复合材料,有望为实际应用开辟一条道路。该论文以“An Ultrafast, High-Loading, and Durable Poly(p-aminoazobenzene)/Reduced Graphene Oxide Composite Electrode for Supercapacitors”为题发表在Advanced Functional Materials上。


图1 3D 多孔 PRH 复合材料的制造过程示意图
3D多孔PRH复合材料的制造的制备与储能测试
制备出的PRH复合材料呈现出连续的三维结构(图2),在增加PPAAB的浓度厚石墨烯表面的形貌仍然呈现出平滑的样式,并没有明显的颗粒状物质产生,表明PPAAB在石墨烯表面可以均匀的负载。

图2 3D 多孔 PRH 复合材料的结构
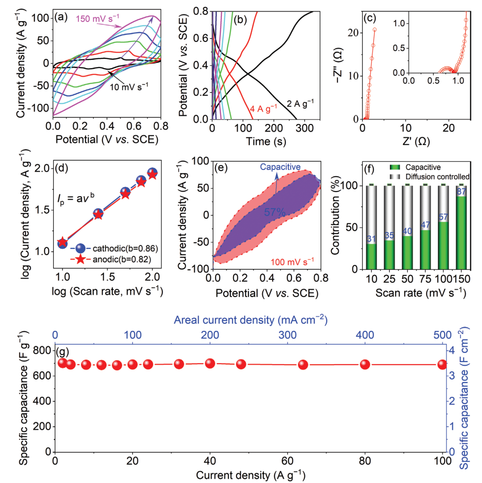
由于RGO片材和PPAAB链之间的协同效应,PRH具有相对较高的导电性、PPAAB的高负载量和PPAAB均匀分布的3D结构。因此,该材料表现出出色的电化学性能。通过测试发现PRH-80电极在 2 A g-1(10 mA cm-2)的电流密度下具有 701 F g-1(3.5 F cm-2)的高比电容。此外,PRH-80 电极在 100 A g−1(500 mA cm−2)下表现出 97% 的优异倍率性能,比电容为 680 F g−1(3.4 F cm−2)(图3)。PRH-80电极的高性能归功于其优异的特性,包括丰富、有效、稳定的氧化还原活性位点和独特的多孔复合结构。这些特征促进了快速的质量扩散和电子转移。如图4a所示,PPAAB是一种氧化还原活性聚合物,具有三种不同的氧化还原形式氧化态,它的电能储存可以通过三种氧化还原形式之间的可逆转化来实现。

图3 质量负载为 5 mg cm−2 的 PRH-80 复合材料的电容性能
3D多孔PRH复合材料的稳定性测试
PRH-80电极具有出色的长期循环稳定性,在9.5 A g-1下循环10000次后显示出 93.3% 的初始比电容和接近 100% 的库仑效率(图 4f)。PRH 电极的这种循环稳定性明显优于类似制备的 PANI/RGO 复合材料,证明了 PPAAB 的高结构稳定性,这是由于循环氧化还原反应过程中高度稳定的偶氮键。
与之前发表的文章相比,PRH-80 电极是唯一具有高比电容、出色的倍率性能和在高质量负载下具有出色循环稳定性的电极。PRH-80水凝胶卓越的电化学性能可归因于 3D 互连结构以及 PPAAB 和 RGO 之间的协同效应。首先,高负载均匀的 PPAAB 可以提供大量的氧化还原活性位点,并加速法拉第赝电容反应以存储电荷。 其次,3D多孔结构可以为电解质离子的快速传输/扩散提供畅通无阻的通道,有效减少传输路径,从而实现优异的倍率性能。 最后,高度稳定的PPAAB和导电多孔RGO骨架有利于增强电极的稳定性和导电性,从而显着提高电化学性能。

图4 质量负载为 10 mg cm−2 的 PRH-80 的循环性能
总结:作者制备的赝电容电极材料的 3D PRH 水凝胶复合材料将为探索其他具有潜在实用储能潜力的赝电容性电极材料提供一个新型的有应用潜力的设计理念。
本文来自高分子科学前沿,本文观点不代表石墨烯网立场,转载请联系原作者。
