Positive and negative effects of graphite flake and monolayer graphene oxide templates on protein crystallization (Open Access)
Zhichun Lin(林智淳),Wenqing Tian(田文卿),Yang Su(苏阳),Vikash Kumar Yadav,Huaiyu Yang(杨怀宇)
Keywords: Graphite; Graphene oxide; Protein crystallization; Adsorption; Heterogeneous nucleation; Template technology
蛋白质纯化是生物制药中的一个关键步骤。现有的蛋白质纯化方法昂贵而且复杂,其费用占药物生产总成本的一半以上。通过结晶技术获得蛋白质药物晶体可以经济地实现大规模蛋白质纯化,降低蛋白质药物的成本。而使用模板技术,可以提高成核速率,使蛋白质结晶过程更高效。近日,英国拉夫堡大学化学工程学院杨怀宇副教授研究团队以溶菌酶为模型蛋白,研究了石墨片和单层氧化石墨烯作为模板在不同实验条件下对的蛋白质结晶过程的复杂影响关系。相关研究成果在Particuology上发表。
研究方法
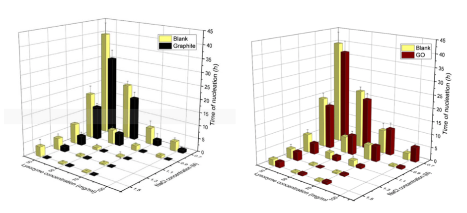
本文以石墨和氧化石墨烯作为结晶成核模板,在4℃条件下,制备了640多个悬置液滴,针对不同蛋白质浓度(30、50、70、100 mg/mL)和沉淀剂浓度(0.7、0.9、1.1、1.3、1.5 M)进行了系统的测试。在显微镜下观察到了两种模板对晶体大小、数量、形态以及结晶成核诱导时间的影响。

图1. 悬浮液滴中在不同模板条件下的晶体形貌
研究结果与讨论
2.1 结晶成核时间
与没有添加模板的悬浮液滴相比,加入石墨模板的悬浮液滴的结晶成核时间显著降低,平均减少了60%,而且液滴中溶菌酶晶体的数量也大大增加。这是因为加入模版促进了异相成核,从而加速了成核速率,这与其他文献报道的趋势相符。加入单层氧化石墨烯模板的液滴,在低蛋白质浓度条件下促进结晶成核。但是在高蛋白质浓度条件下却阻碍结晶成核,这是一个不常见的有趣现象。

图2. 液滴中在不同蛋白浓度和盐浓度条件下的结晶成核时间
2.2 加入石墨模板的晶体形成
在加入石墨模板的液滴中,在石墨片的边缘观察到许多小晶体,这些晶体形成了一层晶体外衣包裹住石墨片。但在扫描电镜图像和紫外光显微镜图片中却发现石墨片上下平面上只有很少的晶体出现。由此可以确认在石墨片边缘更容易生长出蛋白质晶体,这是由于边缘的粗糙程度较高和在石墨边缘与石墨平面层上不同碳碳键的原因。

图3. 加入石墨模板后液滴中形成的蛋白质晶体的显微镜,扫描电镜和紫外光显微镜图片
2.3 加入氧化石墨烯模板晶体形成
加入单层氧化石墨烯模板,显微镜图片可以清楚分辨出:在液滴里没有氧化石墨烯模板的位置,晶体是透明的且晶体表面是正常的;但是在有氧化石墨烯模板的位置,晶体却变得模糊不清,表面也出现瑕疵。而且在更高浓度的氧化石墨烯模板的位置,这种现象更加显著,即晶体表面更加粗糙,出现的缺陷覆盖整个晶体表面,这个从扫描电镜的图片中可以更清楚地观测到。通过比较单层氧化石墨烯模板的扫描电镜图片和原子力显微镜图片,可以发现石墨烯模板部分长在晶体表面,部分嵌入到了蛋白质晶体中。这些变化是由于氧化石墨烯分子和溶菌酶蛋白质分子之间非常强的分子间作用力导致的。

图4. 加入氧化石墨烯模板后液滴中形成的蛋白质晶体的显微镜,扫描电镜图片以及单层石墨烯模板的扫描电镜和原子力显微镜图片
结论
石墨模板能缩短溶菌酶晶体成核所需时间,并增加液滴中溶菌酶晶体的数量。氧化石墨烯模板的作用取决于结晶条件,在蛋白质浓度低的条件下促进结晶。这些结果符合异相成核理论,即模版起到了降低结晶成核所需的自由能,从而提高结晶成核速度的作用。但是氧化石墨烯模板在蛋白质浓度高的条件下却阻碍结晶过程的发生。而且氧化石墨烯模板被包裹在蛋白质晶体中。综上所述,模版对于蛋白质结晶过程的影响很复杂,取决于酸碱性,离子力,蛋白质分子和模版分子之间的相互作用等因素,而这些因素对于设计蛋白质结晶过程以及研究结晶成核理论都有深远意义。进一步深入地研究这些因素需要更多的后续实验或是分子模拟技术的支持。
通讯作者

Loughborough University
杨怀宇
杨怀宇,英国拉夫堡大学化学工程学院副教授,主要研究方向是蛋白质和小分子药物结晶。致力于开发和研究小分子药物和大分子蛋白类药物的分离提纯和工业生产创新过程,最终普及生物药物和个人药物。杨博士在天津大学获得本科及硕士学位,2013年在瑞典皇家工学院获得博士学位。之后在伦敦帝国理工学院,思克莱德大学英国国家连续制药和结晶重点实验室,以及葛兰素史克英国公司进行科研工作。其研究方向包括从分子间作用力层面到实际生产放大的结晶项目,研究涉及蛋白质结晶,小分子药物结晶,模版技术结晶,连续结晶技术,生物结晶和细胞结晶技术的开发等。已发表40余篇期刊文章,担任颗粒学报Particuology青年编委。
本文来自颗粒学报,本文观点不代表石墨烯网立场,转载请联系原作者。
