文章通过密度泛函理论计算和开发的小角度连续介质模型,从理论上研究了扭曲双层、三层和双层-双层石墨烯的Bernal叠加双光子吸收特性,并研究了石墨烯层数和扭曲角度的双光子吸收特性。得到了上述三种扭曲石墨烯在狄拉克点周围的双光子吸收表达式。对于小于15°的小旋转角,该旋转角可以根据角度相关的重整化费米速度调整双光子吸收系数。

图1.具有相称扭转角θ= 13.17°的(a, b) 扭曲双层石墨烯(TBG), (c, d) 扭曲三层石墨烯(TTG)和(e, f) 扭曲双层-双层石墨烯(TDBG)的Moiré晶胞俯视图和原子结构堆叠模式侧视图。

图2. 在Brillouin区K点附近,扭转角分别为θ= 0°(左)、θ= 7.34°(中)和θ= 13.17°(右)的石墨烯体系能带结构。(a-c) TBG, (d-f) TTG和(g-i) TDBG。虚线代表费米面。

图3. 三种不同扭转角的扭曲石墨烯体系的TPA光谱随入射光波长的变化。

图4. TPA系数与 (a) TBG、(b) TTG和(c) TDBG的三种不同入射波长的扭转角的关系。

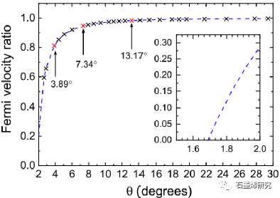
图5. 在连续角2°< θ < 30°范围内,费米速度比
随扭转角的变化曲线。独立交叉表明扭转角相称。交叉插图:小角度范围内的费米速度比。
相关研究成果由云南师范大学物理与电子信息学院Chang Zhou等人于2022年发表在Physica E: Low-dimensional Systems and Nanostructures (https://doi.org/10.1016/j.physe.2022.115204)上。原文:Angle-tunable two-photon absorption in twisted graphene systems。
本文来自石墨烯研究,本文观点不代表石墨烯网立场,转载请联系原作者。
