氧化石墨烯由于其生物相容性,是极具吸引力的柔性材料。文章从弯曲模量的角度研究了氧化石墨烯在单轴拉伸应变下的柔性。结果表明,拉伸应变对氧化石墨烯的弯曲模量有显著的软化作用。拉伸后的氧化石墨烯甚至比石墨烯更有弹性。讨论了应变软化弯曲模量的机理,其中原子键合减弱是柔性增强的直接原因。特别提出了影响软化弯曲模量的一个重要因素,即环氧基团的排列。当环氧化物沿弯曲方向排列时,弯曲模量的软化更为明显。本研究不仅提出了一种增强氧化石墨烯柔性的有效方法,而且揭示了软化弯曲模量的机理,为柔性材料的设计提供了参考。

图1. GO的三种构型:(a) type I (C402), (b) type II (C8O8H8), (c) type III-1 (C8O6H4),和(d) type III-2 (C12O8H4)。碳原子、氧原子和氢原子分别是灰色、红色和蓝色。

图2. 管模型显示了在4%拉伸应变下沿AC和ZZ方向的氧化石墨烯的弯曲。

图3. 三种GO构型沿(a)AC和(b)ZZ方向拉伸的应变-应力曲线。

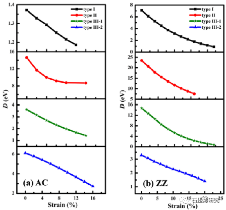
图4. 三种GO构型沿(a)AC和(b)ZZ方向拉伸的弯曲模量(D)与拉伸应变的关系。

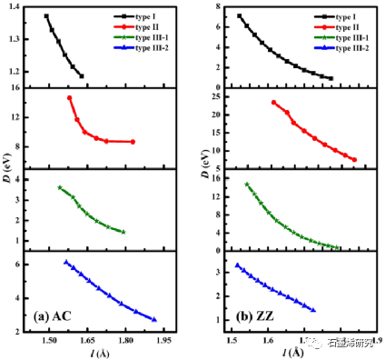
图5. 三种GO构型沿(a)AC和(b)ZZ方向拉伸的弯曲模量(D)与C-C键平均长度的关系。
相关研究成果由大连理工大学物理学院三束材料改性教育部重点实验室Songding Yu等人于2022年发表在Carbon Trends (https://doi.org/10.1016/j.cartre.2022.100167)上。原文:Strain softened bending modulus of graphene oxide。
本文来自石墨烯研究,本文观点不代表石墨烯网立场,转载请联系原作者。
