碳纤维增强聚合物(CFRP)复合材料的阻尼性能在许多工程领域中起着至关重要的作用。本文的目的是研究如何通过二维多层氧化石墨烯(GO)的界面滑动来改善CFRP复合材料的阻尼性能。在这项工作中,我们展示了定向GO在碳纤维/环氧界面上是如何增强碳纤维方向上的能量耗散能力的。用动态力学分析仪测量了CFRPs的阻尼损失因子。研究了不同扫描模式(温度、频率和应变)下GO对CFRPs阻尼性能的影响。结果表明,在碳纤维表面沉积GO可以提高CFRPs在较宽的温度、频率和应变范围内的阻尼性能。当应变为0.23%,频率为1 Hz时,CFRPs (0.0345)的阻尼损失因子增加了113%。在ANSYS中提出了基于应变能法的数值参数分析方法,结合实验数据得到了多层GO的界面特性。利用GO界面阻尼参数可以预测多层碳纳米材料改性复合材料在不同服役条件下的阻尼性能。

图1. 纤维表面的典型SEM图像和红色矩形区域上EDS映射结果(a-c) Raw-CF、(d-f) Desized-CF和(g-i) GO-CF。EDS图中插入了碳和氧的原子百分比。

图2. 通过EDS绘制出(a)中红色矩形区域的GO-CF表面(b)碳(c)氧O元素的分布,表示GO在CF上的均匀分布。

图3. 温度扫描(采样间隔为1℃) (a) Control-CFRP,(b) Desized- CFRP和(C) GO-CFRP的DMA结果。(d)不同类型CFRP阻尼损失因子的比较。

图4. CFRP在循环加载时,由于纤维/环氧树脂界面变形而导致的GO内部多层界面滑动示意图。

图5. 频率扫描(采样间隔为0.1 Hz) (a) Control-CFRP, (b) Desized- CFRP和(c) GO-CFRP的DMA结果。(d)不同类型CFRP阻尼损失因子的比较。

图6. 应变扫描(采样间隔为0.01%应变)(a) Control-CFRP, (b) Desized- CFRP和(c) GO-CFRP的DMA结果。(d)不同类型CFRP阻尼损失因子的比较。

图7. 有限元模型的截面为:(a) Desized- CFRP (50mm × 10mm × 1mm), (b) GO- CFRP (50mm × 10mm × 1mm), (c) GO/基体层(0.5 mm × 0.2 mm × 0.025 mm)。图中所有的数字都是模型的厚度。

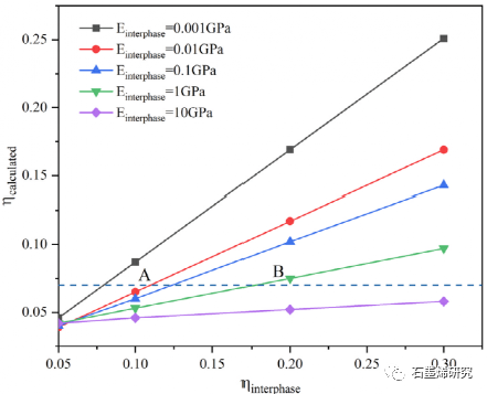
图8. 不同模量和损失因子定义的GO/GO界面层和计算的GO/基体层的损耗因子。
相关研究成果由华中科技大学材料科学与工程学院、材料成形与模具技术国家重点实验室Luyang Gong等人于2022年发表在Composites Science and Technology (https://doi.org/10.1016/j.compscitech.2022.109309)上。原文:Improving the damping properties of carbon fiber reinforced polymer composites by interfacial sliding of oriented multilayer graphene oxide。
本文来自石墨烯研究,本文观点不代表石墨烯网立场,转载请联系原作者。
