淡水资源是影响人类社会和谐发展的核心要素之一。电容去离子(CDI)技术是将苦咸水转化为淡水的有效方法之一。CDI电极材料的选择对其电吸附性能至关重要,通过界面优化直接影响电吸附性能。本文通过亲核加成和酰胺化反应制备了质子化氮化碳(H-C3N4)修饰的氧化石墨烯(H-C3N4-mGO1/8),以增强极低浓度咸水的电容去电离化。以活性炭(AC)为正电极,H-C3N4-mGO1/8为负电极,采用H-C3N4-mGO1/8||AC非对称CDI器件去除NaCl水溶液中的离子。CDI测试结果表明,该体系在50 mg L-1NaCl溶液中,1.2 V的低外加电压条件下,电吸附容量为8.36 mg g-1,是AC||AC对称体系的1.40倍。此外,CDI装置的吸附率为0.1879 mg (g⋅min)-1,再生效率达100%。随着外加电压的增加,H-C3N4-mGO1/8||AC非对称电极的盐电吸附容量和电吸附速率提高,这是由于电极与带电离子之间的库仑相互作用更强,形成了更充分的电双层原理。

流程图1. CDI装置原理图及H-C3N4-mGO的合成路线。


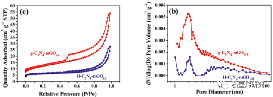
图1. (a)MA、GO、H-C3N4、g-C3N4、g-C3N4-mGO1/8和H-C3N4-mGO1/8的FT-IR谱;(b)GO、H-C3N4-mGO1/8和g-C3N4-mGO1/8的拉曼光谱;(c)GO、H-C3N4-mGO1/8和g-C3N4-mGO1/8的XRD图谱;(d)H-C3N4-mGO1/8和g-C3N4-mGO1/8在1 M NaCl溶液中的EIS图。频率范围为100,000 Hz~0.001 Hz; H-C3N4-mGO1/8和g-C3N4-mGO1/8样品的(e)氮吸附/脱附等温线和(f)孔径分布。

图2. (a和 b)GO、(c和d)g-C3N4-mGO1/8、(e和f)H-C3N4-mGO1/8的SEM图像。

图3. (a)GO和H-C3N4-mGO1/8的XPS谱,(b)GO和(c和d)H-C3N4-mGO1/8对应的高分辨率N 1s和C 1s谱。

图4. (a)g-C3N4-mGO1/8作为电极在不同扫描速率下的CV曲线和(b)对应的比电容柱状图。比电容与扫描速率;(c)H-C3N4-mGO1/8作为电极在不同扫描速率下的CV曲线和(d)对应的比电容柱状图。比电容与扫描速率。


图5. (a)不同g-C3N4/GO质量比的g-C3N4-mGO电极在电流密度为0.2 A g-1时的充放电循环曲线;(b)不同电流密度下g-C3N4-mGO1/8电极的恒流充放电曲线;(c)不同H-C3N4/GO质量比的H-C3N4-mGO电极在0.2 A g-1电流密度下的充放电循环曲线;(d)不同电流密度下H-C3N4-mGO1/8电极的恒流充放电曲线;(e)不同电流密度下g-C3N4-mGO1/8和H-C3N4-mGO1/8的IR降;(f) g-C3N4-mGO1/8和H-C3N4-mGO1/8电极在1 M NaCl水溶液中循环110次的恒流充放电曲线。


图6. (a) H-C3N4-mGO1/8||AC非对称电极在浓度为50 mg L-1的NaCl溶液中在工作电压为0.8~1.6 V时的吸附曲线; H-C3N4-mGO1/8||AC电极在CDI电池中各电压下的(b)SEC和(c)SER曲线及(d)外加电压对CDI Ragone Kim-Yoon图的影响; H-C3N4-mGO1/8||AC非对称电极SEC的(e)Langmuir和(f) Freundlich方程拟合回归曲线。


图7. (a)H-C3N4-mGO1/8||AC非对称电极在50 mg L-1 NaCl溶液中1.2 V时的循环CDI实验;(b)相应的柱状图;(c)AC||AC、H-C3N4-mGO1/8||AC、H-C3N4-mGO1/8||H-C3N4-mGO1/8和H-C3N4-mGO1/8||AC电极在NaCl溶液中的吸附和解吸曲线。
相关研究成果由南京理工大学化学化工学院Jian Yu等人于2022年发表在Chemosphere(https://doi.org/10.1016/j.chemosphere.2022.133580)上。原文:Enhanced capacitive deionization of a low-concentration brackish water with protonated carbon nitride-decorated graphene oxide electrode。
本文来自石墨烯研究,本文观点不代表石墨烯网立场,转载请联系原作者。
