
第一作者:Radovan Kukobat
通讯作者:Katsumi Kaneko
通讯单位:信州大学
论文DOI:https://doi.org/10.1126/sciadv.abl3521
全文速览
设计用于清洁能源应用的、可以从甲烷和轻烃中有效分离氢气的分子筛膜,仍然是膜科学领域的技术挑战。为了解决这个问题,本文制备了一种石墨烯包裹的 MFI (G-MFI) 分子筛膜,用于超快速分离氢气和甲烷,渗透率可以达到 5.8 ×106 barrers,单一气体选择性为 245,混合气体选择性为 50,该结果提升了氢气分离的上限。根据分子动力学模拟,高效的分子筛分来自石墨烯和沸石晶面之间的亚纳米级界面空间。G-MFI 膜的分级孔结构可实现快速渗透,为高效分离氢气/甲烷和二氧化碳/甲烷提供了一条有希望的途径。
背景介绍
H2 是清洁能源生产和实现碳中和的重要工业目标,它主要通过天然气的蒸汽重整产生。从含有 H2、CH4 和轻烃的混合气体中节能回收 H2 ,可以减少 CO2 排放。通过膜分离从炼油厂气体中回收 H2,在能源消耗和减少 CO2 排放方面,比蒸馏更有利。天然气的蒸汽重整过程在约 1000 K 的高温下进行;因此,热稳定膜是节能工艺的首选。
沸石膜具有热稳定性和坚固性,非常有希望用于蒸汽重整过程。然而,具有小孔的沸石带来了挑战,因为它们的孔径大于 CH4的分子大小。具有 0.55 nm 均匀孔径的 MFI 沸石是合适的候选者,并已被广泛研究用于高性能分离过程。最近对膜的研究报告了MFI 沸石膜的进展,其中使用剥离的 MFI 纳米片制备了无裂纹的 MFI 膜。然而,MFI 膜的孔径大于目标 H2 和 CH4 的分子大小;因此,H2/CH4 的选择性被限制在 25。虽然沸石膜的裂纹问题通过发展层状沸石膜路线得到解决,但节能分离技术的建立需要一种新型的热稳定沸石膜,能够快速、选择性地将 H2 从 CH4或其他气体中分离出来。
因此,开发用于构建绿色 H2 分离技术的沸石膜是一项挑战。MFI 沸石通道的内表面改性降低了通道的有效尺寸,实现了 74 的 H2/CH4 选择性,在 300 K 时 H2 渗透率为 4.9 × 10-8 mol m-2 s-1 Pa-1,在 723 K 时 H2/CO2 选择性为 25,H2 渗透率为 1.28 × 10-7 mol m-2 s-1 Pa-1。由沸石和其他多孔填料组成的混合基质膜 (MMM) 已被探索用于高性能膜。中空硅沸石-1 (MFI) MMM 在 300 K 时在 ~10-8 mol m-2 s-1 Pa-1的渗透率下,表现出 180 的 H2/CH4 选择性。尽管如此,MMMs的性能仍然不足,开发具有高渗透性和高选择性的膜至关重要。与基于聚合物的膜相比,无机多孔膜可以实现上述性能。本研究的重点是开发新的沸石膜作为一种无机膜。
图文解析

图1. G-MFI 实现的 H2/CH4 分离效率。(A) 用于单一气体分离的 H2/CH4 分离Robeson 图。(B) G-MFI SEM 图像。(C) 断裂的 G-MFI SEM 横截面图像。(D) TEM 图像突出显示了两个用石墨烯包裹的 MFI 晶体之间的接触。(E) 石墨烯中纳米窗的 TEM 图像。(F) 纳米窗口尺寸分布直方图。(G) G-MFI 膜的边缘共享模型结构,描绘了晶体间空隙;显示了 MFI 的 (010) 晶面。(H)简化的界面模型,显示 G-MFI 膜的石墨烯和 MFI 晶面的截面图。

图 2. 由 77 K 下的 N2 吸附确定G-MFI 膜的孔隙率。(A) G-MFI 和 MFI 粉末的 N2 吸附 (Ads.) 等温线。插图是相应的半对数图。STP,标准温度和压力。(B) G-MFI 和 MFI 膜的N2 吸附等温线。插图是相应的半对数图。(C) 压缩石墨烯的 N2 吸附等温线。插图是相应的半对数图。(D) H2、CO2 和 CH4 的吸附等温线和分数填充与压力的函数关系图。

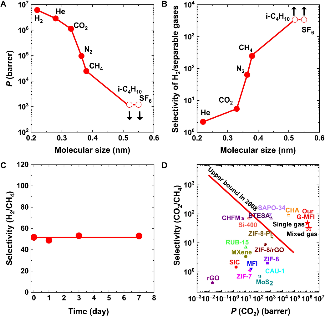
图 3. G-MFI膜的气体分离性能。(A) H2、He、CO2、N2、CH4、i-C4H10和 SF6 气体的单一气体渗透率随分子大小的变化。(B) H2 的选择性与分子大小的关系。可分离的气体包括 He、CO2、N2、CH4、i-C4H10和 SF6。(C) 分离 H2/CH4 等摩尔混合物的选择性随时间的变化。(D) CO2/CH4 的 Robeson图。

图 4. 通过 G-MFI 晶体棒膜模型的渗透机制。(A) 红色 H2 和蓝色 CH4 沿 G-MFI 晶体棒模型的 (100) 和 (010) MFI 晶面的渗透轨迹。(B) 与 (001) MFI 晶面接触的石墨烯上的纳米窗口;表面氧原子为红色。(C) 石墨烯和 (100) MFI 晶面之间的界面。(D) 石墨烯和 (010) MFI 晶面之间的界面。(E1 和 E2) 投影到 (001)面的H2 和 CH4轨迹。侧面的轨迹表示为 I、I’、II 和 II’,表示在石墨烯-MFI 界面空间的渗透。(F1 和 F2)投影到(100)面的轨迹。红色箭头显示 H2 在石墨烯-MFI 界面空间的渗透。CH4 的蓝色轨迹显示 CH4 渗透通过孔隙,但不通过石墨烯-MFI 界面空间。(G1 和 G2)投影到 (010) 面的轨迹,表明 H2和 CH4 渗透通过 MFI 晶体的孔隙。(H 和 I) H2 和 CH4 势能随时间的变化过程。

图 5. G-MFI 渗透性和选择性。(A) H2 渗透率与 MFI 晶体界面表面积的关系图,由模拟和实验确定。(B) H2/CH4选择性与 MFI 晶体界面表面积的关系图,由单一气体和混合气体的模拟和实验确定。
总结与展望
基于上述结果,由于石墨烯和沸石晶体表面之间的狭窄微孔空间和分级孔结构,G-MFI 膜可以在约 106 barrer 的超高渗透率下以高选择性高效分离 H2。H2 透过 G-MFI 膜的活化能为 9.5 kJ mol-1,证明分子筛分效应是由于微孔道狭窄,这与 MD 模拟一致。作者验证了沸石晶面效应对渗透性的影响。石墨烯包裹的 BEA 沸石膜的渗透性明显高于 G-MFI,但几乎没有 H2/CH4 选择性。这是因为石墨烯包裹的BEA沸石的界面空间宽度大于H2和CH4的分子大小。因此,界面空间可能会导致所观察到的 G-MFI 对 H2 的分子筛分效应。
G-MFI 膜在7 天内可以保持稳定,在此期间可以保持 50 的选择性用于分离等摩尔 H2/CH4 混合物。通过所示的简便路线制备无裂纹 G-MFI 膜可应用于高效和经济的 H2 分离过程。G-MFI 膜测得 H2 通过 G-MFI 膜的通量为 1.3 mol m-2 s-1,满足高效工业分离 1.05 mol m-2 s-1 的通量要求。石墨烯包裹方法可以扩展到任何目标气体的新型高性能分离膜设计,最终推动绿色技术的突破。
本文来自邃瞳科学云,本文观点不代表石墨烯网立场,转载请联系原作者。
