背景介绍
发展环保、廉价、可再生、高效的能源,缓解当前的能源危机和环境污染,是当今世界面临的主要挑战之一。氢能由于其清洁、可持续的特点,被认为是一种有吸引力的化石燃料替代品。近年来,电解水技术作为一种高效的生产高纯氢的技术,具有较高的能量转换和储存效率。然而在实际应用中,分解水的两个半电池反应,包括析氧反应(OER)和析氢反应(HER),需要高效的电催化剂来降低过电势。传统的商用电催化剂是贵金属基的IrO2/RuO2和Pt,尽管它们具有良好的电催化活性,但其成本高、元素丰度低、稀缺性和稳定性欠佳等缺点阻碍了它们的大规模工业化应用。因此,寻找廉价、高效、稳定的双功能催化剂显得尤为迫切。
图文解读
近日,西北师范大学化学化工学院苏碧桃教授,兰州理工大学材料科学与工程学院钟明副教授和河西学院化学化工学院王清云副教授在ACS Sustainable Chemistry & Engineering (NiFe Alloys@N-doped Graphene-Like Carbon Anchored on N-Doped Graphitized Carbon as a Highly Efficient Bifunctional Electrocatalyst for Oxygen and Hydrogen Evolution Reactions; DOI: 10.1021/acssuschemeng.2c01381)发表文章,以环境保护,绿色制备为出发点, 将废弃生物质—柚子皮为生物质衍生碳源,利用简单的浸渍-碳化策略,改变碳化温度和Ni/Fe的摩尔比,构建了一系列NiFe@NC/NGC纳米复合材料,并对所得材料的电催化性能进行表征测试,同时进行DFT计算,从理论说明材料的电催化性能。

图1. NiFe@NC/NGC材料的制备
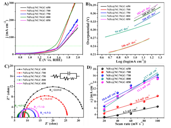
作者通过对制备的材料进行测试发现:
(1) 煅烧温度为800℃,Ni/Fe的摩尔比为1:1时,所得材料具有最佳的OER(287 mV@50 mA cm-2)和HER(190 mV@20 mA cm-2)催化性能。
(2) 通过密度泛函理论计算表明,含有两个Ni原子和两个Fe原子的中空位点是NiFe合金OER和HER活性的主要催化中心。
(3) 在10 mA cm-2下全解水的分解电压仅为1.63V。

图2. 不同碳化温度OER性能测试


图3. 不同Ni/Fe摩尔比下OER性能测试和DFT计算

图4. 不同碳化温度下HER性能测试

图5. 不同Ni/Fe摩尔比下HER性能测试和DFT计算

图6. 全解水与其他催化剂对比
本研究以废弃生物质-柚子皮为生物质衍生碳,利用简单的浸渍-煅烧法成功合成了一系列双功能复合电催化剂。系统研究了热解温度和Ni/Fe比对电催化剂结构和性能的影响。电催化OER和HER性能结果表明,优化后的NiFe@NC/NGC-800具有最低的过电位、最小的Tafel斜率和最大的电化学比表面积。DFT计算结果表明,含两个Ni原子和两个Fe原子的NiFe合金的空心位点是促进OER和HER活性的主要活性位点。本研究可为生物废料的再利用提供参考,为构建具有优异性能的双功能合金型电催化剂提供潜在的水分解应用。
作者简介
通讯作者:
苏碧桃,2003年6月博士毕业于兰州大学。主要从事纳/微米结构材料的绿色制备、光催化性能、磁性能及电化学行为等方面的研究工作。在ACS Sustainable Chem. Eng.,ACS Applied Nano Materials.,Journal of Environmental Chemical Engineering.,Journal of Solid State Chemistry, Journal of Materials Science,Industrial & Engneering Chemistry Research、J. Alloy and compounds、 Journal of Materials Science,Material Letters、Cer Internantional等国内外SCI期刊发表论文100余篇;获甘肃省高校科技进步一等奖3项,甘肃省“555”创新人才奖;发明专利授权10项。主持国家自然基金地区项目1项,甘肃省自然科学项目3项,甘肃省自然科学支撑项目2项。应邀任Material Letters, Ceramics Internantional, J. Alloy and compounds, Journal of Hazardous Materials等多种国际期刊审稿人。
钟明,博士毕业于南开大学材料科学与工程学院物理化学专业。目前主要从事配位聚合物及其衍生材料的电化学储能的研究,包括锂(钠)离子电池等,主持甘肃省青年科技计划基金项目1项,在Chem. Soc. Rev., Coord. Chem. Rev., Adv. Sci., J. Energy Chem., Small, Inorg. Chem. Front., Inorg. Chem., ACS Appl. Nano Mater., J. Environ. Chem. Eng.等国内外学术期刊以第一/通讯作者发表SCI论文20余篇。
王清云,博士研究生。现任职于河西学院化学化工学院,自工作以来发表SCI论文20余篇,2010年获得甘肃省高校科技进步二等奖,2016和2017年作分别获得甘肃省高等学校科研优秀成果三等奖,并多次荣获甘肃省大学生挑战杯优秀指导教师、甘肃省大学生化学竞赛优秀指导教师、河西学院教学成果奖、河西学院教学优秀奖、河西学院教学技能大赛一二等奖等荣誉称号。同时,主持甘肃省自然科学基金两项,甘肃省高等学校科研项目一项,甘肃省河西走廊特色资源利用重点实验室面上项目一项。
第一作者
何方振,在读博士,主要研究电解水催化剂的绿色制备,性能研究。
原文链接:https://doi.org/10.1021/acssuschemeng.2c01381
本文来自生物质前沿,本文观点不代表石墨烯网立场,转载请联系原作者。
