研究背景
得益于原子薄的厚度和优异的电子性质,包括石墨烯和过渡金属硫族化合物(TMDCs)在内的二维(2D)材料库在后摩尔时代展现出应用于新型半导体器件技术的巨大潜力。石墨烯晶体管具有载流子迁移率高、开态电流大的优点,但其关态电流受限于石墨烯的零带隙性质,由此导致的低开/关比成为逻辑电路应用的瓶颈。而基于2D半导体TMDCs的场效应晶体管(FET)中的电导可以通过施加栅极电场有效地耗尽,因此表现出非常高的开/关比。然而,由于存在功函数不匹配和费米能级钉扎效应,2D TMDCs晶体管的开态电流通常受到金属电极和TMDC沟道之间肖特基势垒的限制。此外,2D-FET的亚阈值摆幅在室温下具有~60 mV·dec-1的热力学极限。因此,无论是石墨烯晶体管还是2D TMDC晶体管都不能完全满足下一代FET高开/关比、低工作电压和小亚阈值摆幅的性能要求。层与层之间垂直堆叠的二维晶体范德华(vdW)异质结已广泛应用于各种电子和光电子应用,包括超薄晶体管、发光二极管和柔性光电器件等。vdW异质结的性质可以通过调节2D材料的类型、层数和能带对齐状态来进行精确控制,这对于基础研究和器件应用都具有重要的研究意义。
成果介绍
有鉴于此,近日,国防科技大学前沿交叉学科学院的秦石乔教授—朱梦剑研究员团队研制了基于垂直石墨烯-WS2-石墨烯范德华异质结的场效应隧穿晶体管,并且通过调控载流子隧穿性质有效提升了器件的综合性能。器件在室温下展现出低于0.1 pA的关态电流和超过106的高开/关比。此外,通过控制从直接隧穿区域到Fowler-Nordheim隧穿区域的过渡,器件的载流子输运极性可以有效地从较小偏压下的n型调节到较大偏压下的双极性特征。研究还发现异质结隧穿晶体管中的有效势垒高度可以通过栅极电压进行调控,载流子隧穿和热电子发射这两种机制都对器件在室温下的工作电流有贡献,从而显著提高了场效应隧穿晶体管的开态电流。研究成果以“Highly Tunable Carrier Tunneling in Vertical Graphene-WS2-Graphene van der Waals Heterostructures”为题发表在著名期刊ACS Nano(最新影响因子15.9)上,通讯作者为秦石乔教授、朱梦剑研究员和罗芳博士。
图文导读

图1. GWG异质结隧穿晶体管的表征。(a)GWG隧穿器件的示意图。(b)光学显微镜图像。(c)WS2和hBN层的厚度为~10和~30 nm。(d)WS2、B-Gr和T-Gr的拉曼光谱。(e)WS2 FET在300 K时的转移曲线,显示出典型的n型半导体行为。(f)B-Gr和T-Gr在300 K时的转移曲线。
图1a描绘了GWG隧穿器件的示意图。图1b为隧穿器件的光学图像,重叠的GWG夹层面积约为8 μm2。WS2中间层和hBN衬底的厚度分别约为10 nm(对应于~15层)和30 nm,如图1c所示。拉曼光谱用于表征WS2和石墨烯的层数,如图1d所示。石墨烯电极的层数也可以通过它们的拉曼光谱根据G模式和2D模式确定:B-Gr是单层,T-Gr是三层石墨烯。石墨烯背栅的厚度~2.7 nm,对应八层。为了分别测量WS2和石墨烯层的电学性能,在WS2和石墨烯层上制造了独立的电极对。如图1e所示,纯WS2的转移特性表现出明显的n型半导体行为。B-Gr和T-Gr的转移曲线显示出典型的双极性传导特性,具有轻微偏移的狄拉克点(VDirac)。VDirac的正偏移归因于聚合物残留和吸湿引起的空穴掺杂。

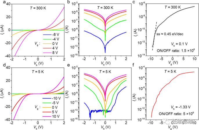
图2. GWG异质结隧穿晶体管中的隧穿输运测量。(a&b)300 K时不同Vg的It-Vb图。(c)固定Vb处的It-Vg图,显示300 K时的开/关比。(d&e)5 K时不同Vg的It-Vb图。(f)固定Vb处的It-Vg图,显示5 K时的开/关比。
图2a和d分别显示了在300和5 K时各种栅极电压(Vg)下的It-Vb曲线。隧穿电流随Vb显示出明显的非线性行为。在较高的偏置下,它随Vb呈指数增加,显示出典型的隧穿特性。图2b和e以半对数比例绘制了不同Vg的It-Vb,表明它随着Vg增加而迅速增加。场效应传输测量It的调制与栅极电压的关系,如图2c和f所示。通过施加负Vg,它降低到<0.1 pA,并受到通过hBN介电层的漏电流限制。对于正Vg,隧穿电流迅速增加到>10 μA。It与Vg的调制使得能够在低温下实现超过5×108的高开/关比,在室温下实现~1.5×106,展示出一种高性能的石墨烯基隧穿晶体管。此外,利用薄的hBN作为栅极电介质还有效地降低了隧穿器件的亚阈值摆幅(ss),在室温下接近0.45 V·dec-1,如图2c所示。通过用高k超薄电介质(例如5 nm厚的HfO2)替换hBN层,可以将ss值进一步降低到60 mV/dec以下。

图3. 控制GWG异质结隧穿晶体管中的载流子传输极性。(a-c)器件在小偏置下的转移曲线,Vb=0.3 V,以及在零和正Vg下的相应能带对齐图。(d-f)器件在大偏置下的转移曲线,Vb=3 V,以及在零和正Vg下的相应能带对齐图。
如图3a和d所示,转移曲线(由Vg引起的场效应)在小偏置区域(Vb=0.3 V)显示出典型的n型传导,但在较大偏置下切换到双极性传导(Vb=3 V)。图3b和c显示了GWG异质结在小偏置下的能带图。施加在顶部和底部石墨烯之间的小Vb会产生穿过WS2势垒的隧穿电流。由于底部双层石墨烯的弱屏蔽,穿过底部石墨烯的偏置感应电场略微改变了隧穿势垒的形状,形成了梯形隧穿势垒。

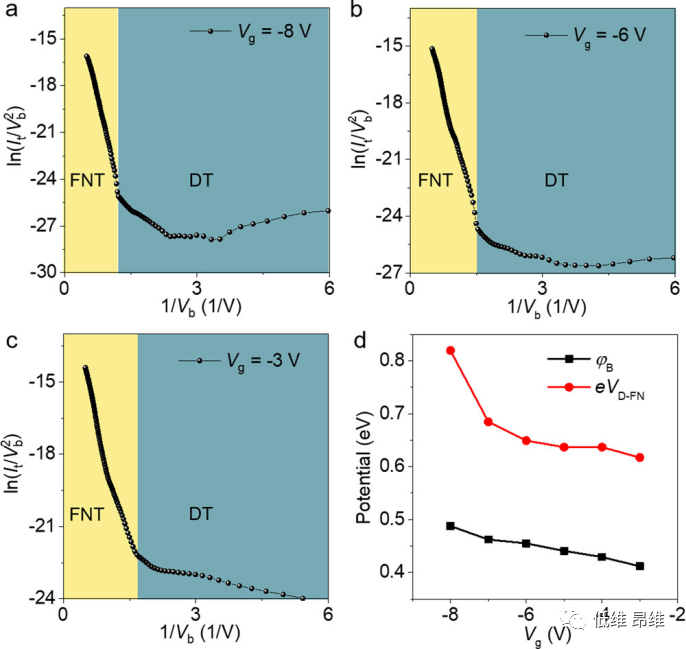
图4. GWG异质结隧穿晶体管中从直接隧穿到FN隧穿的交叉。(a-c)不同Vg下,GWG器件的ln(I/V2)与1/V曲线。(d)φB和VD-FN调制与Vg的关系。
图4a-c显示了在5 K的不同Vg下GWG隧穿器件的ln(I/V2)与1/V。在较低的Vb下,电荷载流子通过超薄WS2层直接隧穿,而在较高偏置电压下的负斜率表明FN隧穿在该区域中主导载流子传输和电流流动。可以从两个区域之间的交叉点提取从直接隧穿效应到FN隧穿效应转变的偏置电压VD-FN,该交叉点对应于FN隧穿效应势垒高度φB的最大值。隧穿电流随着φB和d增加而迅速衰减。图4d绘制了FN隧穿的eVD-FN和势垒高度。在所有Vg中,eVD-FN始终大于势垒高度φB。随着Vg从零增加到负值(空穴掺杂),VD-FN和φB都会增加。

图5. GWG异质结隧穿晶体管温度相关的隧穿特性。(a)在280到80 K的各种温度下,零偏置微分电导dIt/dVb与Vg的关系。(b)不同Vg下零偏置微分电导的Arrhenius图。(c)提取的交叉温度Tc和势垒高度φB与Vg的关系。(d-f)GWG隧穿器件在小偏置和不同栅极电压下的能带图。
为了更好地了解较高温度下穿过WS2势垒的传输机制,研究了在80到280 K的各种Vg下零偏置微分电导的温度依赖性,如图5a所示。图5b显示了在1到-7 V的不同Vg下零偏置微分电导的Arrhenius图。高温区域和低温区域有明显的交叉。对于高温区域,观察到ln(dI/dV)的指数温度依赖性,而在低温下温度依赖性非常弱。两个不同温度区域之间的交叉表明有两种机制对应于载流子隧穿过WS2势垒,如图5d所示。在此,只考虑施加在两个石墨烯电极之间的小偏置(V≪VD-FN)的情况,其中FN隧穿效应被抑制。在低温和大的负栅电压(空穴掺杂区域)下,势垒高度大,势垒上的热电子发射贡献显著降低,载流子更倾向于通过直接隧穿过程隧穿WS2势垒(图5e)。对于正Vg,势垒高度φB显著降低。在较高温度下,GWG隧穿器件中的载流子传输主要由WS2势垒上的热电子发射电流控制,如图5f所示。
总结与展望
本文展示了基于石墨烯-hBN-石墨烯-WS2-石墨烯范德华异质结的高度可调的场效应隧穿晶体管。hBN衬底和石墨烯背栅显著提高了WS2的电子性质和器件性能。WS2具有适当大小的带隙,使得其成为高性能隧穿器件的理想势垒层,在室温下具有超过106的高开/关比。此外,通过施加外部电场可以有效地调节石墨烯-WS2-石墨烯异质结中的载流子输运性质。增加偏置电压会导致器件从直接隧穿区域过渡到到FN隧穿区域,从而实现n型和双极性CMOS器件之间的切换。I-V特性的温度依赖性进一步表明,载流子隧穿和热电子发射都对工作电流有贡献,并且这两个区域之间的转变可以通过栅极电压控制。热电子发射机制显著提高了隧穿晶体管的开态电流,解决了传统隧穿晶体管通常开态电流较小的问题。综上,石墨烯-半导体-石墨烯范德华异质结具有丰富的调控自由度,结合其柔性、透明以及转角等特性,基于该类异质结的高性能石墨烯场效应隧穿晶体管有望满足下一代纳米电子器件的要求。
文献信息

Highly Tunable Carrier Tunneling in Vertical Graphene-WS2-Graphene van der Waals Heterostructures
(ACS Nano, 2022, DOI:10.1021/acsnano.2c00536)
文献链接:https://pubs.acs.org/doi/10.1021/acsnano.2c00536
本文来自 低维 昂维,本文观点不代表石墨烯网立场,转载请联系原作者。
