甲基对硫磷(MP)作为一种典型的有机磷农药,已广泛应用于害虫防治和植物生长调控。同时,农药残留问题也对环境和人类健康构成严重威胁。目前,农药残留检测技术在实际应用中仍然面临着巨大的挑战,因为传统的分析方法存在着设备昂贵、操作复杂的问题。为了解决这些问题,报道了一种新型非酶电化学农药传感器。设计了一种以对苯二甲酸为配体的锆基金属有机骨架材料(Zr-BDC)与电还原氧化石墨烯(rGO)结合。Zr-BDC-rGO纳米复合材料中含有对磷酸基亲和力较高的Zr-OH基团,具有选择性识别和对MP较高的吸附能力。此外,rGO具有较高的比表面积和优异的电子传输能力,使其成为一种优良的功能化吸附和基材,可以提高材料的导电性,达到检测下限。经过优化,该传感器的线性范围宽为0.001 ~ 3.0 μg mL-1, MP的检测下限为0.5 ng mL-1。本工作为农药残留检测提供了一个快速、灵敏、经济的传感平台。

流程图1. (a)水热法合成Zr-BDC;(b)在GCE上通过电还原制备Zr-BDC-rGO纳米复合材料;(c)的农药电化学传感器的构造和MP检测机理。

图1. (a)Zr-BDC、(b)Zr-BDC-GO和(c)Zr-BDC-rGO纳米复合材料的FE-SEM图像。Zr-BDC的粒径分布(插图A);(d)空白玻璃碳薄片、Zr-BDC、Zr-BDC-GO和Zr-BDC-rGO纳米复合材料的XRD谱图。

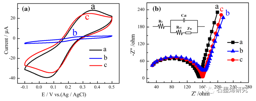
图2. 图a:在含5 mM [Fe(CN)6]3-/4-的0.1 M KCl中(a)rGO/GCE、(b)Zr-BDC/GCE和(c)Zr-BDC-rGO/GCE的CV曲线;扫描速度0.05 V s-1。图b:在含5 mM [Fe(CN)6]3-/4-的0.1 M KCl中(a)rGO/GCE、(b)Zr-BDC/GCE和(c)Zr-BDC-rGO/GCE的阻抗谱;插图:等效拟合电路Nyquist图。

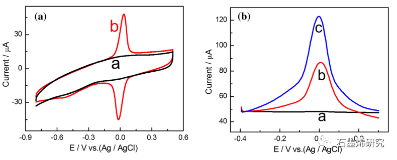
图3. 图a: 1000 ng mL-1 MP在0.1 M PBS溶液(pH = 5.5)中富集(a)前(b)后Zr-BDC-rGO/GCE的CV曲线,扫描速率为100 mV s-1。图b:存在含有0.1 M PBS (pH = 5.5)的1000ng mL-1 MP下(c)Zr-BDC/GCE、(d)rGO/GCE和(e)Zr-BDC-rGO/GCE 的SWV性能。SWV条件:扫描电位范围-0.4~0.3 V;频率, 25 Hz;势能增量,4 mV;方波的振幅,20 mV。

图4. (a)滴液中的Zr-BDC浓度,(b)滴液中的石墨烯浓度,(c)电解液中的pH值,(d) MP富集时间对MP检测性能的影响。

图5. (a)在含有不同MP浓度的0.1 M PBS中Zr-BDC-rGO/GCE的SWV曲线: 10, 100, 500, 1000, 1500, 2000, 2500 and 3000 ng mL-1 (从a-h)。(b)在浓度从1到3000 ng mL-1的MP的0.1 M PBS中Zr-BDC-rGO/GCE的校准曲线 (pH值为5.5)。插图:1-50ng mL-1范围内低浓度MP的校准曲线放大图。

图6. (a) 在浓度为1000 ng mL-1MP的0.1 M PBS中Zr-BDC-rGO/GCE的条形图的峰值电流,额外存在的1000 ng mL-1 p-硝基酚, 1000 ng mL-1对硝基苯胺,1000 ng mL-1三硝基甲苯,1000 ng mL-1苯基膦酸,1000 ng mL--1二苯膦酸、0.1 M SO42-, 0.1 M PO43- 和 0.1 M CO32-。(b)对1000ng mL-1MP中在9个吸附-脱附循环的ZrBDC-rGO/GCE检测性能。
相关研究成果由湖北大学材料科学与工程学院,高分子材料湖北省重点实验室,功能材料绿色制备与应用教育部重点实验室Nan Gao等人于2021年发表在Journal of Materials Science (https://doi.org/10.1007/s10853-021-06436-6)上。原文:A novel electrochemical sensor via Zr-based metal organic framework–graphene for pesticide detection。
本文来自石墨烯研究,本文观点不代表石墨烯网立场,转载请联系原作者。
