要说给石墨片加点氧,还能发顶刊,各位小伙伴们可能以为小编说的是要做氧化石墨烯?但现如今已经是2022年了,所以并不是,咱氧化的是厚厚的石墨片,不是石墨烯。那么这是个什么故事呢?
新世纪前后,碳纳米管刚刚发现不久,各种研究如火如荼,在顶刊上出场频率可以说一点也不比现如今的魔角双层石墨烯、钙钛矿等等晚辈低。碰巧那时候水通道蛋白的晶体结构刚刚被解析出来(然后日常拿走了诺贝尔化学奖)。于是,脑洞比较大的一拨人开始琢磨是不是可以让碳纳米管来干通道蛋白干的事情呢?
比较早的时候,人们是在考虑碳纳米管能不能做水的通道(水管)。由于那时候纳米加工技术远不如今天这么成熟,所以这种脑洞大开的想法还是比较适合做做计算。结果让人直呼震惊:虽然碳纳米管应该是疏水的,但水分子在里头跑的速度非常快,速度甚至不输给水通道蛋白。而原因是,水分子在碳纳米管里排成了一条直线,速度当然快。于是就发在了2001年的Nature上(Nature ,2001,414, 188–190)。

水在碳纳米管内形成单分子链,因此能快速输运 图片来源:nature.com
这么有趣的现象(特别是还能发顶刊)立刻吸引了许多人的关注。其中就包括今天故事的主角,如今在法国巴黎高等师范学院(也在CNRS兼职)的Lydéric Bocquet教授。早年在表面浸润性、流体力学等软物质物理方面的研究背景,让他很快就在这个方向上有所建树。2010年,知名的Chemical Society Review杂志决定为这个被命名为Nanofluidics的新兴领域做了一期专刊,邀请大佬们写综述,Lydéric Bocquet教授就是其中之一。

自信满满的Lydéric Bocquet教授 图片来源:CNRS官网
时间来到2013年,Lydéric Bocquet教授把研究对象从碳纳米管换成了氮化硼纳米管,发表了他在这个方向上的第一篇正刊(Nature, 2013, 494, 455–458)。他们发现直径30纳米的氮化硼纳米管,竟然还可以选择性的让阳离子通过,这在碳纳米管中是无法想象的。其原因是,在实验条件下,水分子能和氮化硼发生化学反应,使得氮化硼表面的实际电荷密度最高达到1 C/m2(每平方纳米有9个电子)。

把单个碳纳米管封在氮化硅膜上用于测量离子电导信号 图片来源:nature.com
2019年,Lydéric Bocquet教授打起了石墨/石墨烯的主意。他与合作者对比了用石墨片做的纳米通道与由氮化硼片制备的纳米通道中水、离子传输过程中的差异,发现它们都表现出类似晶体管一样的门控效应,但响应的幅度相差非常打,其不同可以归结于这两种材料和溶液中的水分子、离子的摩擦力不同。

石墨表面和氮化硼表面对溶液的摩擦力不同 图片来源:nature.com
看到这里,各位读者应该不难发现,Lydéric Bocquet教授一直都在致力于探究纳米通道的表面性质对水、离子在其中的输运行为的影响。在最近的这篇Nature Materials中,他带领的团队想知道的问题是,经过氧化处理的石墨表面做的纳米通道,和原始的石墨表面会由什么不同?

测试装置的示意图以及两种待测样品的原子力、和拉曼表征 图片来源:nature.com
他们用微纳加工技术,在经过氧化处理和未经氧化处理的石墨表面加工出具有5-15纳米深、数微米宽的通道,再覆盖上一层石墨片,形成纳米通道。上图d中可以看到,经过氧化处理(activated)的石墨的拉曼谱上多了一个很明显的D带,说明氧化处理在sp2碳上引入了很多缺陷。
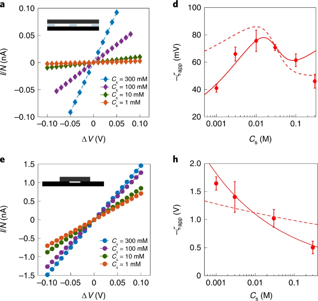
而之后的离子电导测量中可以看出,相同电解质浓度下,氧化处理的样品离子电导(下图e)明显比未经过处理的样品(下图a)要高。通过对电导数据的分析,他们发现,氧化处理后的石墨表面表观zeta电位最高将近2V,而未经处理的样品表观zeta电位总是低于100 mV。

氧化处理和原始的石墨制备的样品的离子电导及其表观zeta电位 图片来源:nature.com
于是他们测试了用氧化活化后的石墨做的器件作为浓差电池的潜力,发现输出功率甚至高达100 kW/m2,高于之前的绝大部分报道。
这些实验结果让他们更加确信了纳米通道表面,特别是所带电荷的数量,对于通道内部离子和水的输运有着巨大的影响。

用氧化活化的石墨制备的器件做浓差电池 图片来源:nature.com
相信看到这里的小伙伴们心里都有答案了。
对了,Lydéric Bocquet教授研究兴趣其实是很广泛也很有趣的。比方说,他曾经仔细研究了打水漂的技巧,并且以“Secrets of successful stone-skipping”为题在Nature(2004年)上发表了一篇正儿八经的论文,有兴趣的小伙伴们可以戳底下的链接去看看。

结论是20度是打水漂最好的角度 图片来源:nature.com
参考资料:
http://www.phys.ens.fr/~lbocquet/index.html
https://www.nature.com/articles/35102535
https://www.nature.com/articles/nature11876
https://www.nature.com/articles/s41586-019-0961-5
https://www.nature.com/articles/s41563-022-01229-x
https://www.nature.com/articles/427029a
本文来自高分子科学前沿,本文观点不代表石墨烯网立场,转载请联系原作者。
