
人物简介:袁小亚,博士(后),教授,2006年毕业于南开大学,获高分子化学与物理专业博士学位,重庆青年科技领军人才、重庆市高校中青年骨干教师、重庆交通大学先进功能材料研究所所长、国家石墨烯产业技术联盟专家、重庆市石墨烯产业创新技术联盟常务理事、重庆烯达科技有限公司研发事业部战略负责人。
2018年,一位中国“天才少年”同日在顶级学术杂志《Nature》上发表2篇关于“石墨烯”的论文,引起媒体狂欢,也将这个字眼带到公众眼前。
这是一种神奇的碳纳米材料,具有光学、电学、力学等若干优异特性,在化学、材料、微电子器件、新能源、生物医学等领域显现出广阔的应用前景,被认为是21世纪的一种未来革命性的材料。
01
产业化关键在突破石墨烯分散的共性技术
时间倒退5年,彼时袁小亚刚开始把研究目光投入石墨烯与氧化石墨烯的应用基础研究,“希望能够做出老百姓能够使用的石墨烯产品。”

石墨烯可以怎么应用?
袁小亚举例道,如果将极少量石墨烯纳米材料加入锂电池的正极或负极中,就可大幅度提升它的电池容量,并能让它快速进行充电。在防水材料中加入石墨烯,就能让其防水性能和长效性大幅度提升。在桥梁混凝土中石墨烯,会使其变得智能化、人性化,可远程监控桥梁的潜在风险以及在出现极端情况时进行提前预警。
既然如此,为何石墨烯至今没有得到大规模运用?
袁小亚一语道破:“因为太贵。对于老百姓来说,只要达到基本诉求,就会买更便宜的。
企业希望利益最大化,但是市场不买账,如何找到其中的平衡点?
袁小亚意识到,
要将石墨烯产业化,
先要解决分散这个共性技术关键难题,
“这是一个基本的科学问题。”
“分散就好比厨师做菜放盐,盐需要均匀分布在菜里,吃起来才会适口。”袁小亚作了个更易理解的比喻。
石墨烯分散的目的是为了将原汁原味的少缺陷二维石墨烯纳米片尽可能暴露出来,然后均匀分布在整个空间内,这样就将其卓越的性能传递给基质材料,从而发挥它对最终产品性能显著提升作用。这意味着新表面的形成必须克服自身表面张力以及石墨烯与基材的界面阻力才能实现。
随着市场对产品性能的要求不断提高,团聚问题已成为石墨烯产业继续发展的瓶颈,因此提高单层或少层石墨烯分散性已经成为提高产品(材料)质量、性能和工艺效率不可或缺的技术方法。
在袁小亚看来,
解决分散问题,
也意味着用越少的石墨烯掺杂量,
得到越好的性能,
成本得以控制。

02
探索科技成果规模化的新模式
经过多年的潜心研究,袁小亚突破了单层石墨烯纳米片长期稳定分散在润滑油中的关键技术,并研发了可在基础油中长期稳定分散的油溶性石墨烯添加剂产品,并已取得2项授权国家发明专利

研发的油溶性添加剂
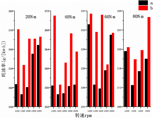
袁小亚团队将产品用到发动机测试实验室、尾气测试实验室等大量第三方测试平台,还与重庆某出租车集团合作整车路用实况测试,数据表明:添加油溶性石墨烯添加剂的纳米润滑油能明显降低油耗约20%,还能大幅度降低机动车尾气中碳氢、氮氧与PM的排放,改善发动机气缸内壁润滑摩擦效果,延长发动机寿命,具有冷启动动力大、加速快等效果,可减少发动机后期维护频率。

柴油机发动机台架试验,石墨烯柴机油添加剂油耗数据
“目前在同类产品中,可以说我们的数据是最全的。该产品已经在重庆二维诺奖研究院的中试平台进行小批量订单式生产,为全面推向工业化应用奠定基础。
产品稳定了,如何规模化、大批量地生产是袁小亚遇到的难题。
传统“投资商+技术商”的转化模式,需要重新搭建运营团队,袁小亚认为并不适用。
润滑油的生产门槛较低,但在这个领域高科技的产品较少。“如果能够找到应用端的生产商,他们有成熟的生产线以及销售渠道,三方共同成立一家公司,就能快速打开市场。”袁小亚也正在借助重庆诺奖二维材料研究院的资源将这种模式付诸行动,与重庆本地的润滑油生产商进行对接。

袁小亚一直在探索将石墨烯技术转化成更多产品推向市场,“技术向市场转化肯定是有规律的,只是现在缺少发现规律的人才”。为此,袁小亚还报名参加了技术转移经纪人培训,他希望有朝一日能够做出有中国特色的老百姓买的起、用的放心的石墨烯改性复合产品,然后推广到全世界,并得到世界的认可。
本文来自两江协同创新区,本文观点不代表石墨烯网立场,转载请联系原作者。
