硅 (Si) 是一种非常具有潜力的高性能锂离子电池负极材料,其具有丰度高、成本低、理论容量高(4200 mAh g-1)的优点。然而,Si 负极的实际应用受限于其较低的电导率和巨大的体积变化。这些缺点导致了硅负极糟糕的循环稳定性和倍率性能。目前,构建硅碳复合材料是一种针对上述问题而被广泛采用的解决方案:碳骨架在提高导电性的同时,提供了空隙来容纳Si 颗粒的体积变化。然而在电极的商业制造中,通常需要辊压工艺来提高界面接触和电极容量。但是在此期间施加的巨大压力(~80 MPa)却能轻易破坏硅碳复合材料的结构,导致性能的衰减。因此,开发能够经受辊压过程的,具有机械弹性的硅碳复合材料具有特别重要的意义。
【工作介绍】
近日,美国加州大学洛杉矶分校(UCLA)卢云峰教授,沈力博士报道了通过喷雾干燥与化学气相沉积(CVD)原位合成了一种具有优秀机械弹性的三维石墨烯-碳纳米管-硅复合材料(G-Si-CNTs), 同时实现了硅碳负极优秀的循环稳定性(700圈2A g-1 容量保持率90%; 0.014% 容量损失每圈)与机械性能(在100 MPa的压力下结构保持稳定),为设计与工业辊压工艺兼容的硅碳负极材料提供了新的思路。该文章发表在国际知名期刊Nano Letters上。UCLA博士生徐金晖为本文第一作者。
【内容表述】
多种碳材料被广泛应用于设计硅碳复合材料中。与无定形碳相比,石墨化碳通常表现出更高的导电性和机械强度。然而,之前报道的大多数硅碳复合材料都是基于无定形碳。因此,基于碳纳米管 (CNTs) 或石墨烯等石墨化的碳材料的硅碳复合材料在近年来引起了极大的兴趣。目前,此类复合材料的合成通常是将 Si 颗粒限制在 CNTs、氧化石墨烯或还原氧化石墨烯的网络框架内。然而,这些碳网络框架通常是通过碳材料的物理堆叠而形成的,导致抗辊压机械性能和导电性难以满足实际要求。
通过CVD技术,得以在喷雾干燥法制备的前驱体模板上原位同步生长了三维石墨烯与CNTs的微米级球形碳骨架。在刻蚀模板后,得到了Si纳米颗粒包裹在连续的石墨烯/CNTs网络的新型硅碳负极材料(G-Si-CNTs)。
这种原位生长方法使Si颗粒嵌入高弹性的石墨烯-CNTs球体骨架中。石墨烯-CNTs球体的多孔结构有效地容纳了Si颗粒的体积变化,连续的石墨化框架提供了优异的导电性,泡沫状三维石墨烯球形结构提供了机械弹性以兼容机械辊压。同时,穿梭在球体内部的 CNTs进一步提高了导电性并最小化了界面电阻,使得G-Si-CNTs具有更高的倍率性能、循环寿命、和机械弹性。

图1. G-Si-CNTs的制备过程及内部结构示意图

图2. G-Si-CNTs的形貌与结构
扫描电镜(SEM,图2 a, b)呈现了 G-Si-CNTs微米级的球形结构,CNTs也可以清晰地在表面观察到。透射电镜(TEM,图2c-h)下可以观察到Si颗粒非常均匀地分布在碳骨架中。同时,石墨烯骨架网络是由无数的纳米级石墨烯空心小球球连接而成。截面的SEM图片 (图i, j) 进一步揭露了G-Si-CNTs的三维结构:硅颗粒镶嵌在连续的三维石墨烯骨架中,同时CNTs穿梭在球形结构内部。

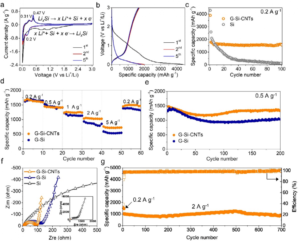
图3. G-Si-CNTs的电化学性能
G-Si-CNTs展现出优异的电化学性能。相比与Si,G-Si-CNTs极大地提高了循环稳定性(0.2 A g-1 100圈放电容量1572 mAh g-1 ,对应88%的容量保持率, 图3c)。图3d, e展示G-Si-CNTs的倍率性能和循环稳定性的同时,进一步强调了内部穿插CNTs对电化学性能的提升。相对于采用类似合成方法但没有CNTs的G-Si,G-Si-CNTs展现出更好的高倍率容量保持率(在5A g-1 下相对于0.2 A g-1容量保持率 45% vs 33%)以及长循环稳定性(0.5 A g-1 200圈容量保持率 91% vs 77%)。电化学阻抗谱(图3f)进一步验证了CNTs带来的改善:G-Si-CNTs相比G-Si和Si有着最小的半圆,说明了CNTs可以有效提高电化学电荷传递。三维石墨烯与CNTs的结合使得G-Si-CNTs拥有优秀的高倍率长循环稳定性,在2 A g-1 的电流下循环700圈后,G-Si-CNTs依然能够维持90%的容量保持率,输出907 mAh g-1 的比容量。

图4. G-Si-CNTs的抗压测试以及电极辊压后嵌锂体积变化
G-Si-CNTs在具有优异的电化学性能的同时,其独特的结构所带来的机械弹性保证了与辊压过程中的高压力的兼容性。即使在100 MPa 的压力下 (图4h, k),G-Si-CNTs依然能够维持其球形的三维结构以及球形形貌,说明了该材料对辊压工艺的兼容性。图4m 记录了一个辊压后的G-Si-CNTs电极在嵌锂后的形貌变化:嵌锂后无裂痕的电极形貌与较小的电极体积变化(18% 厚度变化)进一步说明了辊压过后的G-Si-CNTs依然能够抵消循环过程中所带来的应力变化。
Spheres of Graphene and Carbon Nanotubes Embedding Silicon as Mechanically Resilient Anodes for Lithium-Ion Batteries, Nano Letters 2022, https://doi.org/10.1021/acs.nanolett.2c00341
本文来自能源学人,本文观点不代表石墨烯网立场,转载请联系原作者。
