第一作者:梁涛
通讯作者:王斌
通讯单位:中国科学院纳米系统与多级次制造重点实验室,中国科学院纳米科学卓越创新中心,国家纳米科学中心
主要亮点
本文系统地综述了层间共价石墨烯材料的构筑方法、性能以及应用。在构筑方法中,依据石墨烯本身的制备方法分为氧化还原法以及化学气相沉积法,而在氧化还原法中,以其宏观材料的形貌分为纸状和纤维状来讨论。重点介绍了层间共价对石墨烯材料力学和电学性能的影响,并概述了此类宏观组装体材料的应用。层间共价石墨烯材料继承了石墨烯自身优异的特性,同时也具有宏观组装所赋予的性能,有望在多个领域得到广泛的应用。
此综述是石墨烯的功能与应用专刊邀请稿,客座编辑:国家纳米科学中心智林杰研究员、王斌研究员。

研究背景
石墨烯的制备和宏观组装是石墨烯的实际应用不可避免的两个重要方面,其中石墨烯的组装主要依赖于石墨烯片层之间的相互作用。这种相互作用主要分为两类:非共价连接和共价连接。非共价连接是相对较为柔性的一种相互作用力,不会对石墨烯片层本身造成影响,因此保持了石墨烯本身的特性。共价连接的键合强度通常要比非共价连接大,由于片层之间共价键的形成会破坏石墨烯中原有的共轭结构,因此,会影响到石墨烯本身的特性。然而,由于共价键较强的作用力,这种共价连接也可以实现基于石墨烯组装形成的力学强度进一步提高的宏观材料。因此,发展石墨烯层间共价连接的方法,探究其对石墨烯材料力学、电学、渗透等多种性质的影响,对于实现石墨烯在超强韧材料、膜分离材料、电极材料等多个方面的实际应用具有重要的意义。
核心内容
1层间共价石墨烯材料的合成
1.1氧化还原法制备石墨烯的层间共价
将GO或者rGO组装形成宏观材料依赖于其片层之间的相互作用,宏观材料的形貌则与制备的工艺以及特定的用途相关联。GO纸的制备方法是:将一定浓度的GO分散液通过孔径200 nm的过滤膜,之后在空气中干燥并剥离,就得到了GO纸,形貌如图1a所示。在过滤的过程中,GO片层流动取向平铺排列成纸,其截面保持了层状的结构(图1b),而整体展示出了一定的柔性。这种GO纸内部仅仅是简单的物理堆垛,GO片层之间的相互作用较弱,在力学测试的过程中,GO纸的断裂通常与层间分层以及沿着微缺陷的剪切变形有关,而与GO片层本身的化学键断裂无关,因此,GO纸整体的力学性能较差。通过模仿高等植物中硼离子对细胞壁的增强机理,在GO的过滤液中引入了硼离子,制备了硼离子增强的GO纸(图1c)。硼离子与GO片层上的羟基形成了共价键,导致其杨氏模量和强度显著提升。对样品进行低温退火可以进一步地促进共价键的形成,从而继续提升其力学性质。通过聚合物交联GO的片层也可以提升其力学性能,如图1d所示。

图1 GO纸的制备及其层间交联。(a) GO纸的照片;(b) GO纸的截面SEM照片;(c) 硼离子的层间共价交联示意图;(d) pH响应的GO片层间的聚合物共价交联。
除了组装形成纸之外,将GO或rGO的片层组装形成宏观的纤维也是实现其应用的一个重要方面。GO纤维可以通过以一定的压力将注射器中的GO分散液注入到凝结溶液中来获得,并通过之后的水洗以及还原过程获得rGO纤维(图2a)。GO纤维表面具有褶皱结构,且可以弯曲和打结(图2b,c)。在湿法纺丝的GO水溶液中加入酚醛树脂溶液,并进行后退火,一方面可以减少缺陷使得石墨烯纤维更紧实,另一方面,通过石墨烯片层和酚醛碳之间形成新的C―C键可以提高其断裂时的拉伸率(图2d,e)。在纤维的构筑过程中,共价键可以和其他非共价相互作用手段一起提高纤维的性能,具体的步骤如图2f所示。

图2 GO纤维的制备及其层间交联。(a) GO纤维制备的装置示意图;内嵌图是缠绕在陶瓷轴上的5 m长的GO纤维;(b,c) GO纤维结以及表面褶皱结构的SEM图像;(d) 石墨烯片层间酚醛碳形成的共价相互作用;(e) 石墨烯纤维的密度与加入的酚醛树脂含量的关系;(f) 利用仿生原理制备rGO-Ca2+-PCDO纤维示意图。
1.2CVD法制备石墨烯的层间共价
与氧化还原法获得的石墨烯相比,CVD法生长的石墨烯整体质量更高,缺陷很少,表面无悬挂键,因此,构筑层间共价连接的样品会变得更难。实现两层或多层石墨烯层间共价连接样品的方法主要有两种:一种是碳的同素异形体之间的转化。通过对石墨烯样品施加高压并同时记录其面电阻的方法(图3a),观察到了石墨烯中sp2杂化的碳原子向sp3杂化转换的过程。室温下三层及以上的石墨烯在压力增加到20 GPa以上时,会转变为带隙约为2.8 ± 0.3 eV的二维六方金刚烯(图3b),这种结构即使在压力减小至~1.0 GPa时依然可以保持。对于不同层数的石墨烯来说,其临界转变压力也有所不同,总体趋势是随着层数的减小,临界转变压力逐渐升高(图3d)。原位Raman技术表明,当压强增加到~37 GPa时双层石墨烯的G峰消失,之后压力下降时,2D峰也会消失,说明双层石墨烯实现了sp2–sp3转化(图3c)。与前述工作不同点在于,在这个工作中,水作为压力传输介质对于双层石墨烯的成功转化具有很重要的作用,当把水换成硅油等其他介质的时候,没有观察到类似的变化(图3e),这可能与水作为介质时氢键的形成有关。

图3 压力作用下石墨烯向金刚烯的转化。(a) 施压的同时测定材料电阻的装置示意图;(b) 不同层数石墨烯的面电阻随压强的变化;(c) 水作为压力传输介质时,Raman G峰随压强的变化过程;(d) 石墨烯向金刚烯转变的临界转变压强与层数的关系;(e) 单层和双层石墨烯在不同的压强传输介质作用后的Raman图谱。
另外一种方法是对石墨烯表面的化学修饰,使其碳原子发生从sp2到sp3的构型转化。通过可控氟化处理的方法,可以将CVD法生长的铜镍合金衬底上的双层石墨烯转化为层间共价连接的氟化金刚烯(F-diamane),其化学计量比为C2F。氟的加入对于降低反应势垒、稳定产物以及产物的精准表征都具有重要的意义。图4a–c展示了双层石墨烯以及氟化交联之后的金刚烯的截面原子排列照片,与双层石墨烯相比,氟化金刚烯的双层碳原子距离减小,原子排列方式以及原子间距与理论模拟的结果相一致(图4d)。

图4 CuNi(111)衬底上双层石墨烯转化前后的TEM表征。(a) 转化前的双层石墨烯;(b,c) 转化后的氟化金刚烯;(d) 氟化金刚烯的模拟原子结构以及模拟TEM图像。
2性质
2.1力学性质
在宏观材料中,石墨烯片层的界面相互作用决定了整个体材料的力学性能。因此,通过层间共价连接的手段提升石墨烯片层界面处的相互作用强度可以提升整体材料的力学性能。如图5a所示,通过戊二醛分子层间相连的GO纸的平均杨氏模量约为30.4 GPa,强度约为101 MPa,这比无处理的GO纸的10.5 GPa和63.6 MPa分别高出了190%和60%。戊二醛分子交联提高其整体强度的机理如图5b,c所示。

图5 (a) GO纸及其经戊二醛和水分子处理之后的应力–应变曲线;(b) GO纸的断裂机理示意图;(c) 层间交联的GO纸的断裂机理示意图。
图6a,b展示的是rGO片层之间既有共价相互作用也有π–π相互作用时的结构示意图和力学性能表现。与无层间连接的rGO相比,边缘共价连接的rGO纸(G-PCO)的断裂伸长明显提高(图6b,c)。当rGO片层之间仅以π–π相互作用的时候(π-bridged graphene,πBG-V),其强度和韧性也有所提高(图6b,c)。因此,依次施用这两种层间作用方法,可以构筑强度和韧性都有较大提升的样品(sequentially bridged graphene,SBG-V)。这种样品在各种溶剂中都可以保持更久的结构稳定性(图6c)。

图6 层间多种相互作用共存的rGO纸。(a) 共价与π–π相互作用共存的rGO纸的结构示意图;(b) 层间不同相互作用的rGO纸的应力-应变曲线;(c) 层间不同相互作用的rGO纸的拉伸强度、韧性、以及不同溶剂中的结构稳定性;(d) 层间不同相互作用的rGO纸的电导率以及比重电导率。
2.2电学性质
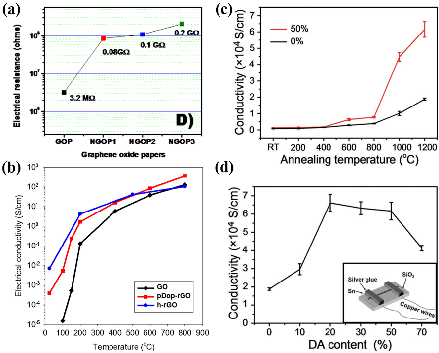
当层间以合适的共价键连接的时候,电荷可以实现更高效的层间传输,因此,宏观材料整体的电学性能有望得到进一步地提升。如图7a所示,用硝基氧修饰GO的时候,其电阻会随着修饰物的增多而提高,热退火是降低GO面电阻的一种常用的方法(图7b)。图7c展示的是不同的退火温度下,无处理以及聚多巴胺处理的rGO纤维的电导率的情况。相比于无处理的纤维,聚多巴胺处理的纤维可以在高温下分解出氮掺杂的碳,从而显著提升其导电性。因此,rGO纤维的导电性可以在一定聚多巴胺含量的时候达到最大值(图7d)。

图7 (a) 不同浓度的硝基氧修饰GO片层时,其电阻随硝基氧含量的变化;(b) GO、水合肼还原的GO (h-rGO)以及聚多巴胺层间交联的GO (pDop-rGO)的电导率随退火温度的变化情况;(c) 不处理以及聚多巴胺处理的rGO纤维的电导率随退火温度的变化情况;(d) 添加不同含量的聚多巴胺的rGO纤维的电导率的变化。
3应用
基于GO或rGO的宏观组装体由于具有优异的机械和电学性质,在许多领域都具有广阔的应用前景,包括导电电极、储能、分离膜、以及发生器和执行器等智能器件等。对这种组装体进行层间相互作用的调控,可以更进一步地调控其整体的性质,满足特定的应用需求。
例如,在电子器件领域,如图8a和b所示,以石墨烯/银复合纤维用作有机薄膜晶体管的源级、漏级、以及顶电极,以聚合物聚3-己基噻吩(poly(3-hexylthiophene),P3HT)为沟道材料,测试了其输出和转移曲线。输出曲线表明,低偏压时,电流和电压保持线性关系,说明P3HT和复合纤维是欧姆接触的。高电压时,电流达到了饱和(图8c)。在转移曲线中,可以观察到基于石墨烯/银复合纤维电极器件的开关比约为104–105,空穴迁移率为4.4 cm2·V−1·s−1 (图 8d),表现出了比基于传统的rGO纤维电极的器件更优异的性能。

图8 以石墨烯/银复合纤维做电极的薄膜晶体管的构筑与测试。(a) 器件示意图;(b) 器件的电路连接示意图;(c) 以P3HT作沟道的晶体管器件的输出曲线;(d) 以P3HT作沟道的晶体管器件的转移曲线。
以石墨烯纸为基础,复合其它的活性材料也可以制备储能器件的电极。例如,图9展示了基于石墨烯纸电极的全固态非对称超级电容器。其电极分别由碳纳米管/石墨烯复合纸和Mn3O4纳米粒子/石墨烯复合纸构成,他们均具有层状的结构(图9b–e)。其中,碳纳米管和Mn3O4纳米粒子的插层增加了电极的活性表面,增强了离子的传输,同时保持了机械稳定性。因此,整个超级电容器器件是柔性的,可以在多次弯曲和扭曲等的状态下依然高效工作(图9f)。电池电压可以达到1.8 V,在10000次连续充放电之后依然可以保持86.0%的电容,以及相比于对称超级电容器的2倍的能量密度(图9g–i)。

图9 基于石墨烯纸电极的不对称全固态超级电容器。(a) 器件示意图;(b,c) 碳纳米管/石墨烯以及Mn3O4纳米粒子/石墨烯复合纸电极照片;(d,e) 碳纳米管/石墨烯以及Mn3O4纳米粒子/石墨烯复合纸电极截面形貌;(f) 正常、弯曲、弯折等条件下的超级电容器照片;(g) 不同电压下的循环伏安曲线;(h) 比容随电流密度的变化;(i) 弯曲以及多次弯折之后器件的比容变化。
利用石墨烯纸等宏观材料还可以实现离子分离等功能。GO纸用作离子透析膜时,对离子的选择性依赖于离子与GO纸中的渗透沟道的相互作用,以及溶液中渗透沟道的尺寸。例如,使用不同结构的二胺交联GO纸时,产物对离子透析的作用结果如图10所示。与无交联的样品相比,离子在二胺交联的GO纸中的渗透流量都会有所增加。

图10 GO膜用作离子分离。(a) 四种尺寸不同的离子通过不同的二胺交联的GO膜的流量;(b) 不同的二胺交联的GO膜的分离因子。
结论与展望
石墨烯的宏观组装是实现石墨烯实际应用的重要手段之一,而层间共价键合可以赋予石墨烯宏观材料更优异的力学、电学、热学等性能以及更丰富的功能化。本文介绍了层间共价石墨烯材料的构筑方法、性能调节、以及潜在的应用。合理地使用层间共价这一键合工具能够制备更多新奇的石墨烯结构,实现之前未有的功能。
通过层间共价相互作用构筑石墨烯基宏观材料依然处于发展的初期,受限于有限的层间交联分子,组装的石墨烯基宏观材料的性能还有提升的空间,功能有待丰富。特别对于CVD制备的石墨烯,其层间共价键的构筑条件较为苛刻,且产物在常压下并不稳定,严重地限制了对其物性的探究以及应用。以金刚烯(diamane)为例,作为一种新型的二维碳材料,通过物理转化方法得到的金刚烯可以认为是一种新的碳同素异形体,其独特的电子结构将赋予材料完全不同于石墨烯和金刚石的崭新性质,如潜在的高导热、兼具高硬度和高柔性的力学特点等。通过高压转化的方法得到的金刚烯具有较完整的微观结构,利于对其本征物理性质的实验探索研究,但该方法也存在着常压下样品不稳定和无法实现大批量制备的问题。因此,进一步优化该制备方法或实现在极端条件下的同步物理性质测试可能是研究金刚烯本征性质的可行途径。与之相比,化学转化方法可以实现金刚烯在常温常压下的制备,且样品尺寸有充分的扩展空间,但当前得到的材料存在着杂原子修饰、结构不完全明确等问题。因此化学转化方法制备的材料可能并不适用于金刚烯本征性质的实验研究,但对于未来发展批量制备技术具有重要价值。该领域的研究还处在起步阶段,需要引入更多新的研究思路和实验方法以推动领域发展。
参考文献及原文链接
梁涛, 王斌. 层间共价增强石墨烯材料的构筑、性能与应用. 物理化学学报, 2022, 38 (1), 2011059. doi: 10.3866/PKU.WHXB202011059
Liang, T.; Wang, B. Interlayer Covalently Enhanced Graphene Materials: Construction, Properties, and Applications. Acta Phys. –Chim. Sin. 2022, 38 (1), 2011059. doi: 10.3866/PKU.WHXB202011059
http://www.whxb.pku.edu.cn/CN/10.3866/PKU.WHXB202011059
通讯作者

王斌 研究员
1986年出生。2014年获国家纳米科学中心博士学位。现为国家纳米科学中心研究员,博士生导师,中科院纳米系统与多级次制造重点实验室副主任。主要研究方向为石墨烯等二维材料的力学和电化学能源存储与转化的性质性能应用。
第一作者


梁涛 副研究员
1989年出生,2016年获得浙江大学博士学位,现为国家纳米科学中心副研究员,主要研究方向为二维材料的制备和应用。
本文来自物理化学学报WHXB,本文观点不代表石墨烯网立场,转载请联系原作者。
