
第一作者(或者共同第一作者):谢康俊,喻舰
通讯作者(或者共同通讯作者):张树鹏
通讯单位:南京理工大学
论文DOI:10.1016/j.cej.2021.128747
Highlights
▪ 合成了SnO2和胺化PS共官能化氧化石墨烯复合材料。
▪ SnO2/PPAS-rGO可有效去除30.5 mg/L NaCl水溶液中的离子。
▪ SnO2/PPAS-rGO-120具有8.07mg/g的超高电吸附容量。
▪ 协同效应可以显著提高电吸附性能。
研究背景
淡水短缺和水污染已上升为严重的国际问题。电容去离子 (CDI) 是一种有效的海水淡化技术。在低浓度海水淡化方面,CDI也有自己的应用前景。CDI设备的脱盐性能受其电极材料特性的控制。为了符合CDI中使用的电极的特性,各种多孔碳纳米材料,包括活性炭(AC)、碳纳米管(CNTs)、石墨烯、碳气凝胶和碳具有高表面积、非凡的导电性和化学惰性的纳米纤维激发了电吸附领域的重大研究兴趣。因此,为了实现低浓度脱盐,有必要进一步探索碳质电极的制造。氧化石墨烯(GO)作为功能化石墨烯的重要前体,由于其丰富的含氧官能团,已被广泛用于制造新型石墨烯基纳米材料电极并应用于 CDI。该小组已经开发了三乙基四胺和苯二胺功能化的石墨烯骨架。 此外,这些小分子功能材料与活性炭结合,由于离子吸附位点数量和电极表面积的增加,增强了电吸附性能。然而,随着水流不断冲洗电极表面,一段时间后电极材料颗粒可能会掉落,这会显着降低稳定性和效率。受MCDI 启发,这项工作提出了一种聚苯乙烯 (PS) 功能化的 GO 材料,其中 PS 作为疏水部分,GO 作为亲水部分。PS和GO的结合可以抑制电极和电解质之间的反应,从而在聚四氟乙烯(PTFE)作为粘合剂的帮助下保证结构稳定性。
图文导读
首先进行 PS 的硝化,将硝基加到苯环的对位上,得到硝化聚苯乙烯 (PPNS)。SnCl2·2H2O作为还原剂可用于将PPNS的-NO2还原为-NH 2 (PPAS)。同时,通过SnO2和NH2基团之间的相互作用,Sn2+可以被氧化成SnO2分子并吸附到PPAS的分子链上。随后,可以通过NH2之间的亲核加成、酰胺化和静电自组装将获得的PPAS改性到GO表面PPAS 基团和 GO 的 COC 和 COOH 基团。并且,SnO2纳米颗粒可以通过分子聚集产生并吸附在石墨烯片的表面上。最后,成功构建了SnO2和PPAS 共官能化的GO(SnO2/PPAS-rGO)。

图1 SnO2/PPAS-rGO的合成路线示意图
图 2a和e 分别显示了原始 GO 的SEM 和 TEM 图像。这种未经修饰的 GO 层为盐离子存储提供了天然的空间。图2b 和c显示了SnO2/PPAS-rGO-120的SEM ,石墨烯纳米片的面对面完整性被彻底破坏。SnO2的引入(图2f)增加了导电性并扩大了石墨烯层的距离,这有助于提高电吸附性能。脱盐试验后,SnO2/PPAS-rGO-120仍呈现稳定的孔径结构,直观地证实了其良好的吸附能力和再生行为(图2d)。此外,众所周知,ID/IG的强度比是检测石墨中晶格和无序程度的量度(图3d)。从图2e 可以看出,SnO2的热稳定性由于形成了界面相互作用,PS 共官能化的基于GO 的纳米复合材料显示出显着的改善。

图2 (a)GO的SEM图像;(b) (c)不同放大倍数下的SnO2/PPAS-rGO-120;(d)电吸附后的SnO2/PPAS-rGO-120;(e) GO和(f)SnO2/PPAS-rGO-120的TEM图像。
· 材料结构确认
图3a显示了PS、PPNS和SnO2/PPAS的傅里叶变换红外光谱(FT-IR) 。图2a中PPNS光谱与 PS 的光谱相比,表明PS已成功硝化。对于 SnO2/PPAS,PPNS中硝基的特征峰(1518和1344cm -1)完全消失,说明硝基基本上被还原为氨基。GO和SnO2/PPAS-rGO的FT-IR光谱如图3b所示。石墨被充分氧化并具有足够的亲水性。图3c显示了GO、SnO2/PPAS-rGO的XRD图谱。AC 和SnO2/PPAS-rGO在0.5M NaCl中的Nyquist 分布如图3f所示。高频半圆与电荷传输电阻(R ct)密切相关,包括EDL电容中电极材料和电解质溶液之间的电极和界面电阻。SnO2/PPAS-rGO-120的斜率约为 1,这意味着更快的离子扩散和更出色的电荷转移效率。


图3 (a) PS、PPNS和SnO2/PPAS-rGO的FT-IR光谱;(b) GO和SnO2/PPAS-rGO的FT-IR光谱;(c) GO和SnO2/PPAS-rGO的X射线衍射图;(d) GO和SnO2/PPAS-rGOO的拉曼光谱;(e) GO、PPAS 和 SnO2/PPAS-rGO 的热重曲线;(F)SnO2/PPAS-rGO电极在 0.5 MNaCl 水溶液中的 EIS 。
进行 XPS 分析以确认 GO 和SnO2/PPAS-rGO-120的元素组成(图4a)。GO主要由碳和氧组成。与 GO 相比,SnO2/PPAS-rGO-120的 XPS 光谱表明存在 C、N、O 和 Sn 原子,因为峰值分别位于 285.1、398.5、534.3 和 490.2 eV。对于GO,284.6、286.8、287.8 和 288.9 eV 的组分分别对应于 C-C/C=C、O-C-O、C=O 和 C(O)OH 键合(图4b)。与原始GO 相比,位于 398.5 eV 的 N 物种表明功能反应成功。在 N 1 s XPS 光谱(图4c)中,可以观察到 399.6、400.7 和 401.1 eV 的 N 物种,分别对应于 C–N、N–C(O) 和 C-NH3 +,这表明同时发生亲核加成反应、酰胺化和静电自组装。


图4 GO和SnO2/PPAS-rGO-120的XPS光谱:(a)两个样品的调查光谱;(b) GO的C 1 s谱;(c) C 1 s 谱;(d) N 1 s 频谱;(e) SnO2/PPAS-rGO-120 的O 1 s 光谱和 (f) Sn 3d 光谱
· 电化学性质
CV测量首先被用于评估在不同合成温度下SnO2/PPAS-rGO的吸附能力的性能。如图 5a所示,这些电极材料的 CV 曲线显示出理想的矩形,没有明显的氧化或还原峰,这表明 NaCl 溶液中的离子是通过库仑相互作用而不是化学氧化或还原反应捕获的。SnO 2 /PPAS-rGO-120 电极在不同扫描速率下的 CV 曲线分别为1、5、10、20、30、50 和 100 mV/s,在 1 mol/L NaCl 中(图5C)。在低扫描速率下,电解质有足够的时间进入电极材料并形成静电吸引力。相反,在高扫描速率下,电解质不能形成 EDL,这解释了为什么比电容随着扫描速率的增加而下降。此外,该解释还可以解释图5d 中显示的变化。综上所述,SnO 2 /PPAS-rGO-120是一种可以形成有效EDL的电极材料。

图 5 (a) SnO2/PPAS-rGO电极在1 mol/L NaCl水溶液中以10 mV/s测得的CV曲线;(b) 所有 SnO2/PPAS-rGO 电极在不同扫描速率(1、5、10、20、30、50、100 mV/s)下的特殊电容;(c)不同扫描速率下SnO2/PPAS-rGO-120在1 mol/L NaCl溶液中的CV曲线;(d) SnO2/PPAS-rGO-120电极在 10 mV/s 不同浓度 NaCl 水溶液中的CV 曲线。
为了分析SnO2/PPAS-rGO的可逆性和电容性能,在 -0.4 至 0.6 V 的电位下,在 0.5 mol/L NaCl 中进行恒电流充电/放电测试,对应于 CV 测量。图 6a显示了所有电极在 0.5 A/g 的电流密度下的一次充电/放电循环。SnO2/PPAS-rGO-120显示出最长的充放电时间。为了更全面地评SnO2/PPAS-rGO-120 电极的电化学性能,各种电流密度下进行 GCD 测量(图6b)。如图6所示的IR降(欧姆降)是衡量转移电阻的重要参数。SnO2/PPAS-rGO-120的IR压降是在所有的电流密度比AC低得多,这证明的SnO2/PPAS-rGO-120其良好的导电性。这与EIS的结论一致。在图6d 中,以 0.5 A/g 检测SnO2/PPAS-rGO-120 以测试可回收性问题。从 100 次循环中的电容保持率变。有趣的是发现 200 次循环后电容增加了约 5.4%,这种现象称为“电活化”。

图 6 (a)电流密度为 0.5 A/g 在 0.5 mol/L NaCl 溶液中的所有SnO2/PPAS-rGO电极的GCD 曲线;(b) SnO2/PPAS-rGO-120电极在不同电流密度下的GCD曲线;(c) AC和SnO2/PPAS-rGO-120在不同电流密度下的IR下降曲线;(d)电流密度为 0.5 A/g的 SnO2/PPAS-rGO-120 在 200 次充放电过程中的循环稳定性测试。
· 海水淡化性能
如图图7a,在不同的电的电压1.0,1.2,1.4,1.6,1.8,2.0V下,电导率呈现降低的趋势,图7b 显示同一电极在多个电压下的可变 SAC,施加的电压越大,电导率降低得越多。随着外加电压从 1.0 V 上升到 1.8 V,最终电导率从 57.24 下降到 29.37 μS/cm,当电压达到2.0 V时,发生电解、析氢、析氧反应,这可以通过电极表面产生的气泡来证明。该材料的Ragone- Yoon-Plot图示于图7c。随着电压的增加,曲线变得越来越右,表明 SAC 和 ASAR 都增加,这再次验证了高充电电压会在充电状态下产生更多的活化吸附位点和更大的脱盐能力。图7d 表明SnO2/PPAS-rGO-120与其他电压相比,施加 1.8 V 电压的具有优异的脱盐率性能。

图 7 (a) SnO2/PPAS-rGO-120电极在30.5 mg/LNaCl溶液中不同外加电位下在CDI电池中的离子吸附行为;(b) CDI电池中 SnO2/PPAS-rGO120 电极在每个电压下的 SAC 和 (d) ASAR 曲线。(c) 电池电压对 CDI Ragone Kim-Yoon-Plot 的影响。
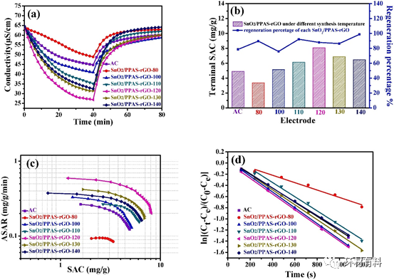
图8a直观地展示了SnO2/PPAS-rGO-80到SnO2/PPAS-rGO-140的电导率变化图。相应的最大 SAC 值绘制在图8b 中。从图8b得出结论,电极的再生率均超过85%,说明此类材料可以快速、轻松地洗脱,这表明SnO2/PPAS-rGO非常适合重复使用。再次构建 CDI Ragone 图以进一步阐明SnO2/PPAS-rGO-120的优越性。在图8c 中SnO2/PPAS-rGO-120 表现出理想的性能。图8d公开了AC和所有SnO2/PPAS-rGO材料的线性拟合线,其中斜率是电吸附速率常数并且相关系数(R 2 )阐述提供了更好的相关性证明。为了研究SnO2/PPAS-rGO电吸附的再生稳定性,使用SnO2/PPAS-rGO-120 电极交替进行吸附和解吸过程。比电容的降低反映了负载电阻的增加。


图 8 (a) 所有SnO2/PPAS-rGO电极的吸附和解吸曲线;(b) 每个SnO2/PPAS-rGO电极的末端SAC和再生百分比;(c) 电极材料对 CDIRagone Kim-Yoon-Plot 的影响;( d )用于所有电极的 CDI 过程脱盐的伪一级动力学。(c) SnO2/PPAS-rGO-120的循环稳定性。(d) SnO2/PPAS-rGO-120 在六个吸附-解吸循环中的SAC性能测试。
总结与展望
在这项工作中,通过共价修饰的 SnO2包装,由 GO 和氨基 PS 成功制造了一种新型 CDI 系统。石墨烯和 PS 之间的苯环形成π-π 共轭物,而氨基旨在与石墨烯的氧化物官能团产生大量共轭结构,这迫使石墨烯片分开以释放更多的电容空间。这种电极材料表现出优异的热力学稳定性和高晶格缺陷,从而促进电荷转移。交错的烷基链与氨基配位形成天然高分子离子交换膜,使离子吸附和可逆性更加可观。SnO2 的环保合成方案和优异的吸附能力PPAS-rGO-120说明了其在工业和海水净化方面的广阔应用前景。
文献链接: https://doi.org/10.1016/j.cej.2021.128747
本文来自环材有料,本文观点不代表石墨烯网立场,转载请联系原作者。
