
第一作者:Ievgen Obraztsov
通讯作者:Aristides Bakandritsos、Michal Otyepka,Radek Zbořil
单位: 捷克先进技术和研究所
背景
由于缓慢的锂离子扩散和非常接近锂金属沉积电压的操作电位窗口,石墨阳极限制了速率性能和安全性。这些因素导致石墨阳极快速老化,并且由于金属锂枝晶的生长,可能造成灾难性的电池故障风险。
经历可逆电化学氧化过程和配位锂的有机材料,由于其成本效益和生态友好的性质、丰富性、可加工性和设计的多样性,是有机/LIBs中具有吸引力的阳极候选材料。羧酸由于其低还原电位和对锂的配位倾向性,已经成为稳定和高能的有机锂电负极材料。
活性有机材料的容量可以表示为配位锂离子的数量与有机分子的分子质量之比。因此,含有高比例羧基的有机阳极活性材料对于提高容量是非常理想的。然而,在高含量的羧基和保持高导电性之间的权衡构成了一个问题,这限制了LIB阳极材料的进一步发展。。此外,为了绕过有机分子的有限导电性,通常需要在电极中加入大量的导电碳添加剂(高达50%),但这进一步限制了实际容量和商业化的可行性。
工作介绍
本工作研究了石墨烯酸(GA,图1a),一种选择性和密集功能化的羧酸石墨烯衍生物,它在以前的工作中被彻底定性,作为LIB阳极。
利用GA出色的功能化程度13at%(相当于超过30质量%的羧基),其片状电阻为6800Ωsq-1,比GO低5个数量级。
GA是通过可重复和可升级的方法从氟石墨烯制备的,目前代表了具有如此高含量羧基的最导电的石墨烯衍生物。GA的滴定曲线与分子有机酸的滴定曲线非常相似,pKa为5.2,反映了其明确的结构。
由于这些特点, GA作为一种有机LIB阳极,具有以下优势:i)源于其羧基的高氧化还原能力;ii)高导电性,提高了速率能力;iii)考虑到总电极质量的高容量,因为只使用了5wt%的导电炭黑(CB)添加剂;以及iv)由于共同存在大量的sp2分子作为Li插层位点,所以具有额外的电荷储存(图1a)。这些结果表明,在石墨烯的导电骨架上共价接枝羧基,为高效和稳定的有机锂离子电池阳极铺平了道路。

图1.a) GA及其与锂离子相互作用的示意图;b) GA阳极的第一、第二和第五个充放电周期;c) GA阳极CV曲线;以及d) 从X射线照片中获得的相对原子含量。

图2.GA在半电池的电化学测试。
在0.05 A g-1时的实际容量和速率能力为800 mAh g-1,在2.0 A g-1时为174 mAh g-1,证明了GA阳极在先进锂离子电池中的潜力。

图3.a) CV曲线,b) b值的线性曲线,c)d)扩散和表面控制过程对GA阳极的容量贡献。

图4.指定电压GA阳极对Li的EIS谱。

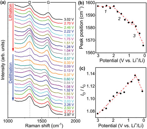
图5.原位拉曼测试。

图6.根据DFT计算得出的锂化GA的模型。
计算结果表明,每一个羧基最多可结合4个Li0原子(图6),而不会有明显的结构变化。锂原子倾向靠近羧基结合,采用两种结合模式:锂原子要么与sp2碳和羧基的氧原子接触,要么,锂原子在羧基的氧原子之间结合(图6)。
另外,Li+离子与GA的结合比Li0弱,因此允许它们容易迁移到阴极,这是在放电过程中需要的。最后,在氧化/还原状态下,Li上的部分电荷为≈0.94-0.99e,这表明Li成分和GA骨架之间有很强的电荷转移过程。

图7.有机材料的性能比较。
GA的优势在于其导电性与高含量的羧基相结合,提供了一个容量和速率性能,这是广泛的羧基有机LIB电极的任何数值所无法比拟的。
总结
总之,石墨烯酸(GA,一种密集功能化的羧基石墨烯)是一种非常有效的LIB阳极材料,它结合了氧化还原和插层特性,源于导电和选择性的羧基二维石墨烯骨架。由于附着在石墨烯晶格上的无间隔的羧基允许它们与石墨烯骨架直接交流,该阳极被赋予了特别低的电荷转移电阻,以及锂离子的有效相互作用和插层。
原位拉曼以及理论结果确实验证了GA作为高质量单层石墨烯的行为。此外,计算证实了锂原子/离子和GA宿主之间的直接电荷沟通途径,实验和基于成分的容量与理论计算的容量一致。GA的羧基在广泛的电势范围内与锂离子配位(与小分子材料相反)。
同时,石墨烯骨架同时作为一个高导电的骨架、氧化还原和插层电极材料。
因此,总的来说,GA阳极在容量和速率性能方面比聚合物、低聚物和分子羧基阳极以及几层和单层石墨烯更好。GA特别有竞争力的性能,以及其高度可重复和可扩展的合成,使得这种材料可以作为LIB阳极有效地应用。
GrapheneAcid for Lithium-Ion Batteries—CarboxylationBoosts Storage Capacity in GrapheneAdvanced Energy Materials ( IF 29.368 ) Pub Date : 2021-12-22 ,DOI: 10.1002/aenm.202103010
Ievgen Obraztsov, Aristides Bakandritsos,Veronika Šedajová, Rostislav Langer, Petr Jakubec, Giorgio Zoppellaro, Martin Pykal,Volker Presser, Michal Otyepka, Radek Zbořil
本文来自电化学能源,本文观点不代表石墨烯网立场,转载请联系原作者。
