
批到批(B2B)和卷到卷(R2R)工艺均可用于石墨烯薄膜的大规模生产。由于设备简单,B2B工艺在实验室研究中非常普遍。相对而言,R2R工艺更容易自动化,并且与随后的转移过程更兼容,因此在工业上更受青睐。目前,对R2R工艺的研究主要集中在反应器设计或装料结构等方面,对石墨烯生长动力学缺乏深入的了解。
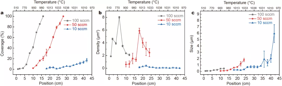
近日,电子科技大学李雪松教授等人在SCIENCE CHINA Materials发表研究论文,通过研究石墨烯的生长演化过程,发现在相同的反应参数下,R2R工艺的石墨烯晶畴密度大于B2B工艺的石墨烯畴密度,其原因归结于两种工艺不同的反应过程;而通过延长反应时间,可以对石墨烯薄膜的缺陷进行修复。在优化的R2R工艺下,可以获得与常规B2B工艺相当的高质量石墨烯薄膜。

图1 不同流速下,石墨烯的生长演化过程。
本工作可促进石墨烯薄膜制备技术的发展。
文章信息
Liang, M., Qian, LX., Hou, Y. et al. Investigation on graphene growth by roll-to-roll chemical vapor deposition. Sci. China Mater. (2021). https://doi.org/10.1007/s40843-021-1822-3
本文来自中国科学材料,本文观点不代表石墨烯网立场,转载请联系原作者。
