1、成果简介
从具有特定形貌的金属有机框架(MOF)中获得具有特定结构、尺寸和尺寸的碳材料对于特定用途的应用(例如锂-硫电池)是非常关键的,其中对于低熔点铟基MOF(MOF)的碳结构知之甚少。本文,中国科学院国家纳米科学中心 褚卫国课题组在《ACS Appl. Energy Mater》期刊发表名为“3D Cotton-Pad-Like Hierarchically Porous Structure Stacked by Hexagonal Highly Graphitized Carbon Nanosheets as Sulfur Immobilizers for Li–S Batteries”的论文,研究提出以室温合成的In-MOFs为基础,首次制备了一种由六角形高度石墨化碳纳米片堆叠而成的三维棉垫状层次多孔碳(CPHPC)结构,并证明其是锂硫电池的有效硫主体。
这个硫@CPHPC阴极在0.2℃和20℃时的可逆容量分别为1349和691 mA h g–1,具有优异的速率性能,良好的循环性能,在0.5 C下1000次循环的衰减率为0.033%,在10 C下3800次循环的衰减率为0.014%。良好的电化学性能归因于3D高度石墨化碳导电网络产生的优越导电性,多硫化物的有效限制来自于碳主体和硫之间的充分接触,以及多孔纳米片堆叠的刚性结构的高稳定性。这种易于获得的独特碳结构及其以碳形式存在的衍生物不仅对锂硫电池,而且对锂离子电池、超级电容器、催化和化学吸收的性能起着关键作用。
2、图文导读

图1.In-MOF,CPHPC和S @ CPHPC结构的示意图。

图2. CPHPC的(a-c)SEM,(d,e)TEM和(f)HRTEM图像,在(d)插图中显示了相应的SAED模式。

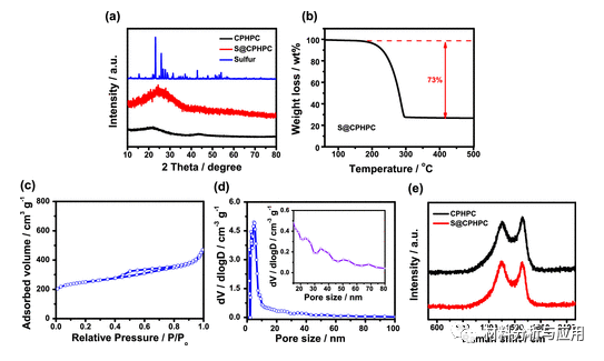
图3.(a)CPHPC和S @ CPHPC的XRD。(b)S @ CPHPC的TG曲线。(c)CPHPC的氮吸附/解吸等温线。(d)孔的尺寸分布,插图显示出对应于较大尺寸的各种减弱的峰。(e)CPHPC和S @ CPHPC的拉曼光谱

图4. CPHPC和S @ CPHPC的(a)C 1,(b)O 1和(c)S 2p XPS 。

图5.(a)速率能力,(b)不同速率下的充电/放电曲线,以及(c)S @ CPHPC在硫负载密度为5.6 mg cm –2的情况下在0.2和2 C下的循环性能。
3、小结
综上所述,制备一种由六角形石墨化的碳纳米片堆叠而成的三维CPHPC结构,作为锂硫电池的有效硫主体。以In-MOFs为原料,在室温下合成了具有新晶体结构的三维碳材料。这种新颖独特的碳结构作为一个新成员加入到碳家族中,在锂硫电池、锂离子电池、超级电容器、催化、化学吸附等领域具有潜在的应用前景。
文献:

本文来自材料分析与应用,本文观点不代表石墨烯网立场,转载请联系原作者。
