【研究背景】
相比于无机金属、陶瓷和碳材料,有机聚合物材料热导率很低,一般被认为是绝热材料,这极大地限制了对聚合物基散热材料有大量需求的高集成化和高功率化电子电气技术的发展。较低的结晶度是聚合物材料导热性差的主要原因,所以目前很多研究人员采用提高聚合物结晶度的方式来提高热导率,但是这一过程对聚合物材料的种类、加工方式和设备均具有很大的选择性,因此目前还很难得到大规模应用。大分子链的近程和远程结构决定了聚合物材料的性能,那么,除了提高结晶度,对于低结晶度聚合物,是否可以通过对分子链构象的调整来实现热导率的提升呢?
【研究成果】
针对这一疑问,近日,台湾交通大学Chien-Lung Wang教授联合台湾大学Ming-Chang Lu教授研究团队发现可以通过抑制低结晶度聚合物分子链的松弛(主链基团的曲轴运动)来大幅度提升材料的热导率。在研究中,作者对不同分子量的尼龙-6(N6)和尼龙-11(N11)纳米纤维进行了不同温度和时间的退火处理,发现当退火处理温度低于尼龙的松弛温度时,材料的热导率会增加,并且随着退火处理时间的增加而不断增加:对分子量的尼龙-6纳米纤维,在T=120K的条件下退火处理2.86 × 106 s (∼33天)后,热导率从0.27W m−1 K−1提升至59.1 W m−1K−1,提升了217倍。而导致这一现象的原因是当材料处于时,尼龙非晶区中分子链上亚甲基的曲轴运动被限制,这有利于分子链整体构象有序度的增加以及链间距的减少,从而有利于热导率的提升;而构象的转变需要一定的时间,因此尼龙热导率的提升对时间有较强的依赖性。同时,作者还发现分子量对低温退火处理提升尼龙热导率也有较大的影响——分子量越大,热导率提升速度越快。通过理论模型计算,分子量的尼龙-6纳米纤维,在T=120K的条件下退火处理46天后,热导率可以提升至518 W m−1K−1。这项研究提出了一种针对于低结晶度聚合物材料提升热导率的普遍适用方法并建立了理论模型分析,对未来高热导率本体聚合物材料的研究、制备和发展具有重要意义。这项研究以题为《Heat Transfer of Semicrystalline Nylon Nanofibers》发表在《ACS Nano》期刊上(后附原文链接)。

【图文解析】

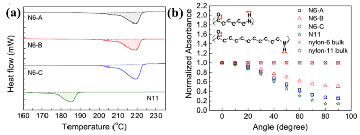
图1.(a)各种尼龙纳米纤维的DSC结果(计算结晶度);(b)各种尼龙纳米纤维偏光红外结果(计算取向度)
作者采用了四种尼龙纳米纤维进行了研究,分别是N6-A(Mn=42k),N6-B(Mn=26k),N6-C(Mn=6k)和N11(Mn=32k)。通过DSC表征,这四种尼龙的结晶度分别为21.7%,21.4%,21.6%和20.7%,因此非晶态分子链为主要结构,属于低结晶度材料。偏光红外结果显示这四种尼龙纳米纤维内部分子链均具有较高的取向性,而后面的实验结果也发现,分子链的高度取向是尼龙低温(T<Tγ)处理后热导率提升的一个重要条件。

图2.(a)尼龙纳米纤维热导率对退火处理T和时间t的依赖关系;(b)尼龙纳米纤维在冷却过程中的热导率变化;(c)尼龙纳米纤维在不同温度下退火处理时,热导率随时间的变化;(d)退火温度改变后尼龙纳米纤维的热导率变化
作者研究发现所有的尼龙纳米纤维均对退火处理温度和时间有较强的依赖性。N6和N11的松弛(链段运动,Tg转变)、松弛(侧基运动)和松弛(主链基团曲轴运动)温度分别是350K,230K和150K。作者选取了两个退火温度T,分别是210K(Tγ<T<Tβ)和120K(T<Tγ),对尼龙纳米纤维进行处理。研究发现将尼龙纳米纤维从高温冷却到退火温度的过程中,尼龙纳米纤维的热导率基本保持不变(N6-A,N6-B,N6-C和N11的热导率分别是0.42,0.35,0.32和0.5 W m−1 K−1),并且各种尼龙纳米纤维在T=210K条件下长时间处理后,热导率也基本保持不变。而当退火温度T=120K(T<Tγ)时,所有尼龙纳米纤维的热导率均随处理时间的增加而增加[图2(c)所示],并且提高处理温度后,尼龙纳米纤维的热导率剧降,如图2(d)所示。

图3. (a)尼龙纤维热导率随退火处理(T=120K)时间的变化;(b)作者建立的理论模型,探究尼龙纳米纤维热导率与分子链松弛时间之间的关系;(c)尼龙纳米纤维微观分子链结构在低于的温度下处理前后示意图
作者延长了各种尼龙纳米纤维在温度T=120K的处理时间,发现热导率可以随时间不断持续提升,对于N6-C(Mn=6k),处理2.86 × 106 s后热导率提升至59.1 W m−1 K−1。通过理论模型建立和分析,作者发现尼龙纳米纤维低温处理后热导率升高是非晶区分子链构象有序度增加导致的,示意图如图3(c)所示:在T<Tγ时,尼龙分子链上的亚甲基曲轴运动被大幅度抑制,促使了链有序度提升以及链间距减小;随着时间的增加,有序度程度逐渐提升以及链间距不断减小,因而纳米纤维热导率随时间的增加而不断提升。同时,结果显示热导率的转变也与分子量有明显的依赖关系——提高尼龙分子量可以提高热导率随处理时间增加而增加的速率。结合模型作者研究发现,聚合物储能模量的增加有利于提高声子传输速度,进而提高热导率。低分子量的尼龙在低温退火处理过程中储能模量很快达到平衡,因而热导率的提升主要依靠链构象的转变。而高分子量的尼龙由于储能模量达到平衡时间较长,在整个退火处理中除了可以依靠链构象的转变,它还可以依靠提升声子的传输速度来进一步增加热导率;经过理论计算,作者推算N6-A(Mn=42k)的热导率在120K处理46天后可提升至518 W m−1 K−1。
【总结】
作者研究发现采用抑制尼龙分子链松弛,也即调节聚合物链构象的方法可以大幅度提升低结晶度聚合物材料的热导率,这丰富了人们对半晶聚合物传热的认识,同时为将来各种高热导率的半晶聚合物材料的制备提供了坚实的理论和实验基础。
原文链接:https://pubs.acs.org/doi/10.1021/acsnano.9b07493
本文来自高分子科学前沿,本文观点不代表石墨烯网立场,转载请联系原作者。
