本文要点:
液相再分散和自组装(LRS)的方法,以制备具有3D石墨烯网络体系结构的石墨烯/聚合物纳米复合材料
成果简介
三维石墨烯(GE)的网络结构对于提高复合材料的导电性具有重要意义。但是,在复合材料中构造这样的GE网络结构仍然是一个挑战。本文四川大学高分子材料工程国家重点实验室夏和生教授团队在《ACS Appl. Mater. Interfaces》期刊发表名为“Constructing 3D Graphene Network in Rubber Nanocomposite via Liquid-Phase Redispersion and Self-Assembly”的论文,研究展示了一种简便的方法,即液相重分散和自组装(LRS)以制备具有石墨烯网络的聚合物纳米复合材料。

高剪切液相混合,伴随着溶解的聚合物链扩散到疏松石墨烯的空隙和空隙中粉末会导致GE在聚合物溶液中重新分散。一旦停止搅拌,再分散的GE的自组装和分离就会在由π-π相互作用驱动的不良溶剂中发生。溶剂蒸发后,GE组装结构作为网络保留在通过热压制备的GE /聚合物复合物中。研究了石墨烯 /(异丁烯-异戊二烯橡胶)纳米复合材料(GE / IIR),以证明LSR方法的优势。观察了液相中的GE组装体的形态和固体复合物中的GE网络。由于存在均匀分布的石墨烯在隔离的网络中,GE / IIR纳米复合材料的抗张强度和断裂伸长率分别增加了约410和126%,当GE含量为3.76 vol%时,电导率达到了约10 0 S m –1。LRS方法还成功地用于具有不同聚合物基质和不同溶剂的系统,这表明了该方法的鲁棒性。制备的具有GE网络的柔性GE / IIR纳米复合材料对微小应变敏感,可应用于可穿戴传感器中以检测人体生理信号。
图文导读

图1、石墨烯在IIR /石油醚溶液中高速混合下的再分散示意图

方案1. 通过液相再分散和自组装在橡胶中构建3D 石墨烯网络的方法

图2、TEM观察复合材料中GE网络的形态

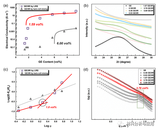
图3.(a)分别通过LRS和双辊混合法制备的GE / IIR纳米复合材料的电导率;红色和灰色曲线是原始数据的拟合曲线;(b)GE,IIR和GE / IIR纳米复合材料的XRD。(c)相对于纯净聚合物的过量拉伸模量的双对数图,其为GE体积分数的函数。直线是拟合线;(d)ln(I(q))对ln(q)的SAXS图。

图4.GE / IIR纳米复合材料的应力-应变曲线

图5、GE / IIR应变传感器的示意图
小结
一种简便的方法,即液相再分散和自组装,以从松散的轻质石墨烯粉末开始制备包含3D石墨烯网络结构的石墨烯/聚合物纳米复合材料。高剪切混合会破坏聚合物/溶剂溶液中的松散石墨烯粉末,并且一旦停止搅拌,再分散的石墨烯层的自聚集就会产生石墨烯组件,在溶剂蒸发形成GE后可以将其保留在聚合物基质中网络。制备的纳米复合材料具有高电导率以及优异的机械和水蒸气阻隔性能。GE / IIR纳米复合材料表现出高电阻率响应和出色的可重复性,可用作人体运动和生理信号检测的可穿戴应变传感器。
文献:

本文来自材料分析与应用,本文观点不代表石墨烯网立场,转载请联系原作者。
