将新材料推向市场具有改变整个行业的力量。人们通常会忽略,基于科学创新成果的转化一般需要花费数年的时间,而要取得重大的市场成功则至少需要20到30年。可见将新材料推向市场的挑战不容小觑,新材料的开发并不会像软件开发一样迅速,基于新材料的创新道路是艰难,漫长且昂贵的。
从1824年发现硅到1958年发明硅芯片,足足有124年的时间。现在,几乎所有现代产品都使用了芯片技术。在1947年之后的7年中,由于Teal及其贝尔实验室和德州仪器(TI)的同事在硅方面的开拓性工作,许多基于Ge的设备才开始转向Si。
从基础研究到应用研究,再到开发,设计,生产和营销,并不是线性进行的。相反,它的特点是各种参与者和商业活动之间存在广泛的联系,互动和反馈。创新可以被视为一个系统的过程。因此,在学术界和工业界之间建立有效的网络,并促进创造周期来管理早期技术风险,是创新的主要动力,对于新材料的创新尤其如此,例如石墨烯和相关材料(GRM)。基于材料的创新特点是,利益终端如系统集成商和原始设备制造商与材料研发投入的脱钩。最终商业化产品中通常只需要少量的材料,这给材料生产商建立可行的商业模式带来巨大的挑战。例如,一个300毫米石墨烯wafer的石墨烯含量少于0.1mg,并且可以使用在数千个器件之中。同样,在聚合物复合材料中,仅含有少量体积的石墨烯即可使得电导率增加几个数量级,并且机械性能提高100%以上。
尽管如此,新材料作为许多行业的推动者,在能源,机械,汽车和医疗设备等许多重要行业的可持续转型中起着关键作用。面对如此巨大的挑战,早期的发展工作通常在一些机构和组织的创新计划支持下进行。就GRM而言,欧洲石墨烯委员会以及中国,韩国,美国和日本的类似计划发挥了这一作用。创新支持行动关键的要求是通过技术和创新路线图(例如用于硅的ITRS和GRM路线图)来识别和表征创新的战略目标区域,做市场布局。

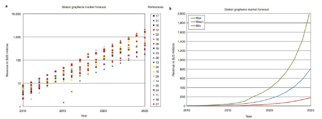
图1. 全球石墨烯市场的历史和预期收入
市场信息是定义此类路线图的技术要求的重要组成部分。以石墨烯为例,有许多市场可供研究选择,市场价值估计范围很广,2025年的市场价值从约1.8亿美元到21亿美元不等。为了挖掘发展趋势,人们将2013年和2019年20个市场调研的结果合并到一个市场分析图中。可以预测到2025年平均增长率约达40%,如图1a所示。这也表明全球市场需求从2015年的US$15–50million,到2025年左右约可以达到US$200–2,000 million美元。需要注意的是,图中描绘的是“石墨烯的市场价值”。在这里,这些预测的数字代表的是材料本身而不是最终产品的收益。
为了评估石墨烯在不同应用市场中的潜力,研究者们比较了按不同应用场景对2025年的市场预测。图2展示了复合年增长率(CAGR)与不同应用领域盈利预测的关系图。普遍认为,石墨烯在电池和超级电容器等储能器件应用(黄色方块)中具有很高的市场潜力(> 1亿美元)。石墨烯复合材料和导电膜/电极(蓝色方块)预计将会有较高的复合年增长率(〜30%)和较高的盈利,而石墨烯基(光电)电子和传感器(灰色方块)预计将具有> 20%的较高的增长率,但盈利不高。随着越来越多的产品进入市场,石墨烯的研发(黑方块)预计将以约0%的恒定复合年增长率持续增长,这表明石墨烯可能在某些领域已经超出了单纯的研发阶段。

图2. 到2025年,石墨烯市场将按用途分类
作为重要的创新支持措施,越来越需要为GRM发展提供可信赖的验证和标准化服务。石墨烯的组件和系统也已进入市场。例如,可见光(400 nm)到近红外/短波红外光(1800 nm)的宽光谱范围内具有低噪声的石墨烯光电探测器,霍尔效应传感器和领先的石墨烯增强复合材料飞机的水平尾翼等。耐腐蚀的石墨烯增强树脂也已经在化工厂中用于替代金属,从而节省了成本和重量。GRM的最终性能(基于设备)需要显著优于现有技术,期望更高才能使该设备相对于标准技术被认为具有竞争力。
在石墨烯商业破土动工十五年之后的今天,期望广泛的市场渗透是不现实的。石墨烯的确具有独特的性质,但是,它本质上与其他新材料没有什么不同,其他新材料至少需要30年并需要大量投资才能产生巨大的市场影响。创建创新生态系统并提供整体创新支持是促进石墨烯商业化的关键因素。预计在未来15年内将有更多基于石墨烯的创新,并且商业规模化或大面积生产方法正在逐步发展。一切才刚刚开始。
原文通讯:剑桥大学A. C. Ferrari
原文链接:https://doi.org/10.1038/s41565-019-0557-0
本文来自清新电源,本文观点不代表石墨烯网立场,转载请联系原作者。
