第三章:石墨烯和拓扑
石墨烯能带结构的奇妙之处,不仅仅是因为锥形,还由于它的拓扑性质。在本章中,我们将用几个实例,比喻和介绍拓扑的基本概念。然后对石墨烯能带结构,以及更广义意义下的“拓扑绝缘体”,作一个简单描述。
1. 橡皮膜上的几何学
拓扑学和几何学都是研究空间的数学,但它们研究的方式不同。拓扑学不感兴趣“点之间的距离”这样的东西,它只感兴趣点与点之间的连接方式,即“连没连”、“怎样连”这种类型的问题。比如说,有两个几何图形,我们可以将它们如同橡皮一样地被拉伸、被变形,但不能被撕裂和粘贴,如果我们能经过上述方法将它们互相转换的话,就说这“两个几何图形具有相同的拓扑”。因此拓扑也被俗称为“橡皮膜上的几何学”。最典型的几何形状不同而“拓扑相同”的例子就是人们经常说的“面包圈和咖啡杯”。
拓扑是“流形”的性质。流形是我们熟知的直线、平面等平坦欧几里德空间的推广,强调的是空间的整体几何形态。如果局部地看流形,与欧式空间一样。
二维流形(即几何形态)的拓扑性质最直观、最有趣、容易以图像说明。例如,球面、环面、面包圈面、莫比乌斯带、克莱因瓶都是二维流形的例子。它们每个点附近的小局部看起来,都类似于平面,但整体拓扑却大不一样。
像球面及面包圈面这样的流形,属于“有限、无边界、有方向”的,被研究得最深入,可以用“亏格”来描述和分类。
对实闭曲面而言,通俗地说,亏格就是曲面上洞眼的个数,见图3-1-1。亏格数等于0,是球面;当亏格数等于1时,便对应于面包圈或咖啡杯所代表的拓扑流形。图中也分别画出了亏格=2、3、5时所对应的图形。

图3-1-1:不同的亏格表示的不同种类拓扑流形
因为拓扑在乎的是点与点之间的连接方式,所以在图3-1-1的第一列中,诸如饭碗、立方体,等几何形体的表面,都与球面有相同的拓扑性质。这种内秉性质用亏格=0来描述。
这儿的亏格被称为拓朴不变量。第二列显示的物体是亏格=1的例子。也就是说,我们可以将一砣面团捏成一个甜甜面包圈形状,然后又可以将它捏来捏去逐渐变形为一个咖啡杯。只要在捏面团的过程中总能保持面团的那一个“洞”存在,并且也不产生出新的洞来,就意味着拓扑流形的“亏格”数总是等于1,也就是保持拓扑不变。
拓扑在理论物理学中的应用主要是凝聚态物理、量子场论和宏观宇宙学。石墨烯涉及的是凝聚态物理,其中拓扑概念的引入伴随着量子霍尔效应及拓扑绝缘体的发现。
理论物理中涉及拓扑时,还有一个纤维丛的例子,纤维丛的“陈数”,也是拓扑不变量。
纤维丛可以看作是乘积空间的推广。简单乘积空间的例子很多,例如,二维平面XY可以当作是X和Y两个一维空间的乘积;圆柱面可以看作是圆圈和一维直线空间的乘积。
纤维丛是基空间和切空间(纤维)两个拓扑空间的乘积。平面可看作X为基底Y为切空间的丛;圆柱面可看成圆圈为基底、一维直线为切空间的纤维丛。只不过平面和圆柱面都是是平庸的纤维丛,平庸的意思是说两个空间相乘的方法在基空间的每一点都是一样的。如果不一样的话,就可能是非平庸的纤维丛了,比如莫比乌斯带,见图3-1-2。

图3-1-2:纤维丛
有搞笑之人给了纤维丛一个通俗而直观的图像:将人的头作为基底,头发是纤维,长满了头发的脑袋则是纤维丛。
如上所述,纤维丛有平庸和不平庸之分,纤维丛的这个拓扑性质用以数学家陈省身命名的“陈类”来分类。比如说,可用一个不变量—“第一陈数”为0或非0,来表征图3-1-2中的圆柱面和莫比乌斯带纤维丛拓扑性质的不同。陈数可直观地理解为基空间的点改变时,纤维绕着基空间转了多少圈。从图3-1-2可见,相对于平直的圆柱面而言,当基空间参数变化一圈时,莫比乌斯带上的“纤维”,绕着基空间“扭”了一圈。
2. 石墨烯的量子霍尔效应
拓扑如何能与石墨烯沾上边?还得从霍尔效应讲起。霍尔效应种类繁多,已经繁衍成了一个大家族,首先当然是介绍它们的经典老祖宗。
经典的霍尔效应是埃德温·霍尔(Edwin Herbert Hall, 1855–1938)于1880年发现的。说的是磁场中的通电导体,会受到力的作用,这是一个用高中物理就能理解的事实。见图3-2-1a。

图3-2-1:霍尔效应
图3-2-1a所示的是金属中自由电子移动而产生的霍尔效应,磁场、电流、及霍尔电压三者方向之间的关系如图3-2-1a所示。但是,如果在半导体材料中,运动的电荷,即载流子,不一定是电子了,也有可能是带正电的“空穴”,那时候产生的霍尔电势的方向便有所不同。因此,我们可以借助霍尔效应研究半导体中的载流子,确定掺杂后的半导体材料中的载流子类型,到底是空穴还是电子?也可以进一步测量载流子的浓度。
至今为止,距离经典霍尔效应的发现,已经有140多年。期间对各种霍尔效应的研究一直连续不断。特别是在上世纪80年代发现量子霍尔效应之后,更多霍尔效应的家族成员相继被发现,成为凝聚态物理中的一大热门课题。
霍尔电压也经常被人称为横向电压,以区别于沿电流方向的驱动电压。横向电压和纵向电流I之比,可以定义一个横向的霍尔电阻rxy。在经典霍尔效应中,霍尔电阻rxy与磁场B的关系是一条倾斜上升的直线。而一般的纵向电阻rxx则是一条与磁场无关的水平线,见图3-2-2a。

图3-2-2:霍尔效应大家族
1980年,德国物理学家冯•克利青(von Klitzing,1943年-)发现了图3-2-2b所示的量子霍尔效应,并因此获得了1985年的诺贝尔物理学奖。
比较图3-2-2b与图3-2-2a,很容易看出量子霍尔效应与经典霍尔效应的区别。经典效应中霍尔电阻rxy与磁场B的直线关系被图3-2-2b中更为复杂的曲线所代替。后者测量的横向霍尔电阻曲线中出现了一个一个的量子化“平台”。纵向电阻的表现和原来经典情况大相庭径,经典霍尔效应中的纵向电阻(实际上就是在通常意义上定义为电压电流之比值的普通电阻)是一个常数,而在量子霍尔效应中则表现出上下剧烈地震荡。
之后,物理学家们又发现了分数量子霍尔效应,如图3-2-2c所示。
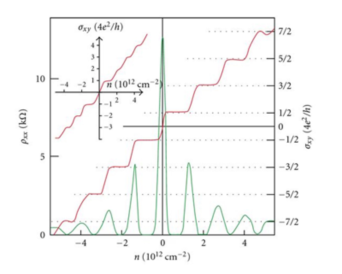
当海姆第一次从石墨中分离出石墨烯后,便迫不及待地用实验证实了石墨烯的整数量子霍尔效应,并发现石墨烯中的量子霍尔效应与当年标准的量子霍尔效应结果有所不同【13】,如图3-4-1所示。同样在2005年,另一个实验团队观察到了石墨烯的分数量子霍尔效应【14】。

图3-2-3:石墨烯的整数霍尔效应
从图3-2-3可见,石墨烯的整数量子霍尔效应中,霍尔电阻rxy没有𝑛=0的平台。
石墨烯量子霍尔效应有一个非常特别的优越性:它在常温下就能发生!大部分的霍尔效应只在低温下(低於4.2K)才能被观察到。而石墨烯由于在狄拉克点附近的电子是无质量的相对论费米子,使得石墨烯载流子具有极高的迁移率,这个性质从低温到室温没有表现太大的变化,以至于在室温下也照样观测到石墨烯的量子霍尔效应【15】。
解释量子霍尔效应时,用到一个“冰糖葫芦模型”,将量子霍尔效应与拓扑现象联系起来。
首先考虑二维经典霍尔效应:一个在均匀磁场中运动的电子,所受到的磁力(洛仑兹力)遵从右手规则,应该处处与其运动方向垂直(图3-2-4a)。由于磁力不对电子作功,因此,电子的速率将保持不变但运动方向则不断改变,这意味着电子将保持回旋的圆周运动,如图3-2-4b所示。

图3-2-4:电子在磁场作用下的回旋舞
如果在电子运动的二维平面上同时还存在着电场的话,电子便会在跳回旋舞的同时,又在电场库仑力的作用下,在二维平面上移动。如果磁场B的数值比较小,电子还来不及“回旋”一周就已经来到了金属片的边界上的话,便在边界处积累起来,形成霍尔电势,产生经典霍尔效应,如图3-2-4b左图所示
然后,如果磁场增大,电子回旋的角频率增大,电子转半径更小的圈,如图3-5-1b中图所示,电子跳起转圈的回旋舞,开始产生整数量子霍尔效应。并且,两个邻近回旋圈的电流互相抵消了。只有边界上的电子不能形成完整的回旋,最终只朝一个方向前进。所以,在量子霍尔效应中只有边缘电流。
在图3-2-4b的中间一图中,有6个电子和2个磁通量子(N=6,Nf=2),相当于每3个电子分享1个磁通量子,对应于整数量子霍尔效应的平台n=6/2=3。
如果磁场继续增加,磁通量子多起来,达到1个磁通量子被更少的电子数分享,n便会减小。在图3-2-4b的右图中,6个电子分享6个磁通量子(N=6,Nf=6),因而得到n=(6/6)=1,即n=1的平台。

图3-2-5:量子霍尔效应的“冰糖葫芦”模型
然后,如果磁场继续增大的话,每个电子将分配到比n=1更多的磁通量子。这时候的N0大于N而使得n = N/N0成为一个分数,应该可以得到比1更小的n的数值,1/2、1/3,等等,也就是说,得到分数霍尔效应了!以上量子霍尔效应中电子与磁通量子数目的分配关系,可以形象地用“冰糖葫芦”来描述。如图3-2-5:将一个电子表示成一个山楂(图中的绿色圆饼),穿过电子的磁通量子用一根竹签表示(图中的蓝色箭头)。
再仔细看看图3-2-5的冰糖葫芦,不由得恍然大悟,这个模型不就与拓扑联系起来了吗。
例如,几种简单模式可以用本章开始介绍过的拓扑中的“亏格”数来表征,见图3-2-6。

图3-2-6:分数量子霍尔态对应的拓扑
本文来自张天蓉科学网博客,本文观点不代表石墨烯网立场,转载请联系原作者。
