电力系统接地网是保障输电塔及变电站大电流信号导通的重要构件,在分散电流及保障电力设备安全稳定运行等方面起着重要作用,但是金属构件长期埋于沿海土壤中会造成腐蚀破坏,相关的腐蚀保护研究十分迫切。碳作为传统的电极材料随着碳纳米研究的深入,再次走入腐蚀保护研究工作者的视线。近期有关研究者尝试利用石墨烯的导电性结合相关材料来探索用于接地网防腐的新技术。

漆膜附着力测试

漆膜抗冲击测试

涂有导电防腐涂层的碳钢Q235在3.5 wt.%NaCl溶液的EIS图
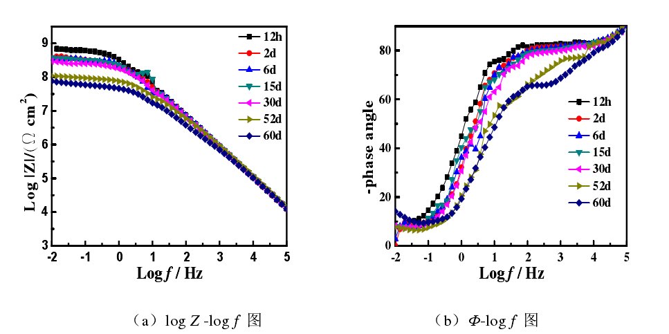
通过对浙江海洋大学陈科锋所做相关工作的文献材料梳理,我们了解到,该研究以环氧树脂为载体,通过石墨烯导电涂料并优化配方探索具有长效防腐的新型溶剂型石墨烯基导电防腐涂层,在实验中通过对漆膜附着力、抗冲击性及漆膜与基材结合强度测试,表明漆膜基本机械性能良好;采用电化学交流阻抗技术、微区局部电化学阻抗谱测试、耐化学试剂浸泡实验及中性盐雾实验研究导电涂层的耐腐蚀性,实验表明电化学测试其阻抗模值稳定在108Ω·cm2以上、耐盐碱浸泡时间达2500h后漆膜不失效及气泡等失效现象、中性盐雾实验1500h并结合湿附着力测试,表明涂层具有优异的长效测耐腐蚀性能;涂层经体积电阻率、表面接触电阻及耐大电流冲击试验表明所制得的导电防腐涂料涂层具有良好的电气性能。

无溶剂型石墨烯基导电涂料/碳钢Q235在3.5 wt.%NaCl溶液中的Nyquist图
同时针对溶剂型涂料存在着挥发性有机化合物的缺陷,该研究遵循绿色化学的思路设计制备了活性稀释剂代替有机溶剂的无溶剂型石墨烯导电基导电防腐涂料。同时根据电化学阻抗技术、耐化学试剂浸泡实验及中性盐雾实验表明无溶剂型石墨烯导电涂料具有良好的防腐效果;此外局部电化学阻抗测试技术表明涂层经划痕处理,在划痕处及划痕边缘处阻抗值变化不大,数据维持在106数量级,没有出现明显的腐蚀扩散现象;导电涂层的体积电导率测试表明其导电性能不及溶剂型导电防腐涂料,但是相较于常规的导静电防腐涂料有所提升。
本文来自中国粉体网,本文观点不代表石墨烯网立场,转载请联系原作者。
