【引言】
2D单层碳材料-石墨烯,由于优越的机械性能、电学性能以及柔性,吸引了广泛的关注。为实现它的实际应用,这种片状纳米单元必须被组装成宏观结构。在最近报道的石墨烯宏观组装中,石墨烯基纤维(GBFs)表现出不俗的应用的前景。
迄今为止,对于GBFs,都是通过提高轴向排列,增加组装纳米单元的宽高比以及减小结构缺陷来提高机械强度。实际中,纯纳米石墨烯纤维(NGFs)的机械强度已经从140提高到500MPa。但由于石墨烯单元排列以及尺寸限制,这个值很难再提高了。这里,研究人员通过将聚多巴胺(PDA)覆盖的氧化石墨烯组装到GBFs中,再热解PDA,得到碳包覆的还原氧化石墨烯纤维(RGO@C)。所制备的纤维具有优越的机械性能和高的电导率。
【成果简介】
近日,合肥微尺度物质科学国家研究中心俞书宏教授和合肥工业大学从怀萍研究员(共同通讯作者)研究小组受珍珠层结构设计启发,通过引入聚多巴胺衍生N-掺杂碳物种作为阻力增强剂、粘合剂和导电连接“桥”,提高了石墨烯基纤维的机械性能和电导率。所获石墨烯基纤维的拉伸强度、电导率,提高到了724 MPa和 6.6 × 104 S m−1。该研究成果以“A Bioinspired Interface Design for Improving the Strength and Electrical Conductivity of Graphene-Based Fibers”为题发表在Adv. Mater.上。
【图文导读】
图1. RGO@C纤维的制备

(a) RGO@C纤维制备过程示意图;
(b-d) 覆盖面上GO@PDA单元的AFM图和纳米微凸的相应尺寸;
(e, f) RGO@PDA纤维的表面形貌,e中插图是RGO@PDA纤维的实物图;
(g) 50% RGO@PDA纤维截面的SEM图。
图2. 不同条件下制备GBFs的应力–应变曲线

(a) 在不同DA含量下,GBFs的应力-应变曲线;
(b) 在不同初始掺杂浓度下,GBFs的应力-应变曲线;
(c) 在不同水热温度下,GBFs的应力-应变曲线;
(d) 在不同退火温度下,GBFs的应力-应变曲线。
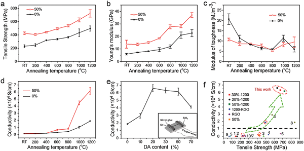
图3. 机械和电学性能的对比

(a-d) 在不同退火温度下,NGFs 和 50% GBFs机械性能和电导率的对比 ;
(e) 1200 °C退火GBFs的电导率和DA含量的关系;
(f) 该文章制备的GBFs和以前报道的GBFs,在拉伸强度和电导率方面的对比。
图4. RGO@C的成分分析

(a) 在1200 °C退火前、后,所获RGO和 50% GBFs的XRD;
(b) 在1200 °C退火前、后,50% GBFs的拉曼图;
(c) 在1200 °C退火前、后,50% GBFs的FTIR;
(d,e) 在1200 °C退火前、后,50% GBFs的N1s XPS;
(f) 50%-1200 RGO@C纤维的C1s XPS。
【小结】
研究人员引入PDA-衍生碳物种作为阻力增强剂、粘合剂和导电连接“桥”,获得优良粘附性、表面粗糙度和良好电导率的PDA衍生物。最终,制备了RGO@C纤维,其抗拉强度和韧性分别达到了724 MPa 和9.44 MJ m−3。这种具有优越性能的RGO@C纤维,可能在柔性、便携和可穿戴电子器件方面有重要的应用。
文献链接: A Bioinspired Interface Design for Improving the Strength and Electrical Conductivity of Graphene-Based Fibers (Adv. Mater.,2018, DOI: 10.1002/adma.201706435)
本文来自材料牛,本文观点不代表石墨烯网立场,转载请联系原作者。
